登录| 注册    
收藏  点赞 

标记—再捕估值法

法标记的,则要将标本放在中子源下照射,稀有元素标记的标本须使其放出γ射线。估值统计用标记再捕法进行种群估量的统计方法有多种,可归纳为林肯指数法、杰克逊法和乔利—塞贝法三类:林肯指数法林肯(C.Lincoln)1930年提出适用于一次标放、二次再捕的统计。此法首先假设测定的种群为封闭式的

根据标记释放种群个体数、再捕个体数、及其与种群数量的关系,以估测种群总数的方法。此法由丹麦的彼得森(C.G.J.Petersen)1894年首先提出。估测步骤包括:标记释放、再捕、有标记虫体鉴别、统计计算。在操作过程中要求对昆虫种群没有影响。

标记释放

先从生境中采捕一批昆虫,计数后进行标记。常用的标记材料是漆或染料。标记分个体点涂或群体喷布。个体点涂可用绘图油彩染料或硝酸纤维漆、烷基乙烯基松脂漆、带生物荧光素的瓷漆等,用绘图小眉笔点涂于虫体前、中胸背面或翅面上,点涂前用CO2将活虫作昏迷处理50~60分钟。群体喷布可选用水溶性小,但溶于酒精、丙酮的碱性染料,如碱性品红、品绿、龙胆紫、橘红G、刚果红或生物荧光素。溶液浓度多为0.2~6%,其中再加少量虫胶漆0.25~0.5%,直接对采捕的昆虫喷布标记,或对大田中、诱虫灯下或养虫笼中的虫群进行喷雾标记,然后放回大田。此外可用饲喂标色(在人工饲料中加染料)、放射性同位素标志等标记法。

再捕和鉴别

标记昆虫释放后,让其与自然种群其他个体充分混和,便可进行再捕。再捕可用灯光诱集(最好用高效诱虫灯,如卤素灯、双色灯等),化学引诱剂、性外激素诱集,或用扫网、捕虫网、吸虫器等法。每次回捕样本均要记载回捕总数及其中有标记虫数。标记昆虫的鉴定技术因标记方法不同而异,用染料或油漆标记的可先经目测、镜检、挑出有标记的昆虫,然后进行纸层析或氧化铝薄板层析鉴定。层析时要设对照(即标放时留下的标记样本)。同时将虫体浸入无水酒精内,经浓缩后分别滴于滤纸或层析薄板的原点。如标记时加过荧光素,可将滤纸或薄板放在紫外分析灯下,标色样本便会呈现出所用荧光素的同色荧光。然后进一步将滴加虫样的滤纸或层析板用展开剂展开,比较各显色斑点的颜色、荧光显色及Rf值,与对照样本进行比较后定性鉴定。用放射性同位素标记的样本则要用定标器测定射线脉冲数,并与对照样本比较后定性。用中子活性法标记的,则要将标本放在中子源下照射,稀有元素标记的标本须使其放出γ射线。

估值统计

用标记再捕法进行种群估量的统计方法有多种,可归纳为林肯指数法、杰克逊法和乔利—塞贝法三类:

林肯指数法

林肯(C.Lincoln)1930年提出适用于一次标放、二次再捕的统计。此法首先假设测定的种群为封闭式的,标放与再捕时期内没有死亡或出生过程。其基本计算公式为:

标记—再捕估值法

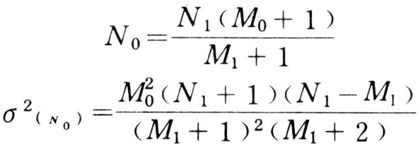
如回捕率很小(即M1<20),则可用下式:

标记—再捕估值法

式中 N0为种群总数估值;N1为再捕总虫数;M0为标放总虫数。M1为再捕总数中的标记虫数。林肯指数的计算较简便,但其假设为封闭式种群,无生死过程,这实际上是难以控制的。

杰克逊法

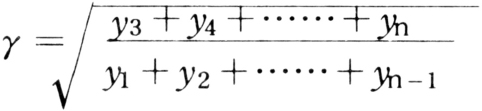
杰克逊(C.H.N.Jackson)1933年提出。适用于一次标放、多次再捕(正法),或多次标放,一次再捕(负法)。设在t0时刻一次标放,t1t6时刻6次再捕(即正法),由于各次标放或再捕的虫数不等,故在计算时,首先要将各次再捕到的标记虫数M1折算为标放数和再捕数都统一为100头的yi2,计算公式为:

标记—再捕估值法

然后再计算t0时刻的a0,计算公式为:

标记—再捕估值法

式中

y值数超过4时,种群的总数估计值为:

标记—再捕估值法

标记—再捕估值法

杰克逊的负法是在t-6~t-1日期中作6次标放,t0时刻作一次再捕,其计算y1a0γ的公式同上。

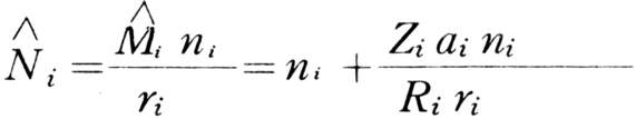
乔利一塞贝法由乔利(G.N.Jolly)和塞贝(G.A.F.Seber)提出,适用于多次标放和多次再捕的统计。此法采用随机模型不但可估算出某日的种群总数,而且可根据种群的扩散或生存过程的信息估算出种群的消失率(包括死亡与迁出)或渗入率(包括出生与迁入)。其数据列于表1。表中三角形数字排列部分为第i日再捕的过去各次标放的虫数,例如第七天捕捉总数n1=250,其中有第一至六天所标记的虫数分别为1,6,5,10,34,56头,共112头(用r1表示,r7=112),表中R1代表第i天标记释放的虫数,在i天以后各天再捕的累计数,如R7=46+28+17+8+7+2=108头。

表1 乔利法所用的捕捉-再捕记载表

表2 j日或j日以前标记的动物在i日被再捕总数计算表

表2是由表1引出,表示在第i日捕到第j日(或j日以前)标记的再捕数(γ1),即表1中各行由左至右相加所得,如r7=1+6+5+10+34+56=112,在表2中各列粗线上端的数即ri。在i日以后捕到的标记数(Zi),见表2中除第一数以外的各列累加数,如Z7=40+31+11+11+8+9=110

乔利法的种群总数估值公式为:

标记—再捕估值法

式中 Ni为第i天种群总数估值;ni为第i天标记释放数;为第i天种群标记总虫数的估计值。例如估测第七天种群总数为:

标记—再捕估值法

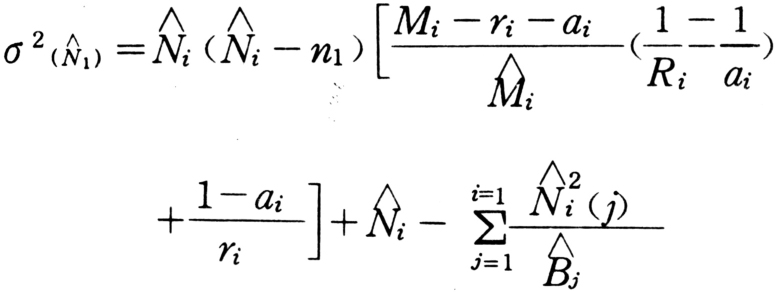
种群总数估值的方差为:

标记—再捕估值法

式中 a为第i天捕捉时标记中所占的比率,