登录| 注册    
收藏  点赞 

分布型指数法

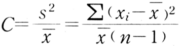
依据对某一种群抽样调查中所得的3个重要分布信息(均数、方差和样本数)之间的关系,判别此种群个体间的扩散或聚集程度,从而确定其分布型的一种方法。常用的分布型指数有扩散系数、直法、扩散型指数、泰勒指数、平均拥挤度和ρ指数等6类。扩散系数(C)是方差与均数的比值,用以检验种群扩散是否属于随机型的一个系数。其公式为: 分布型指数法 式中 为平均虫数;s2为方差;n为抽样数。

依据对某一种群抽样调查中所得的3个重要分布信息(均数、方差和样本数)之间的关系,判别此种群个体间的扩散或聚集程度,从而确定其分布型的一种方法。常用的分布型指数有扩散系数、直法、扩散型指数、泰勒指数、平均拥挤度和ρ指数等6类。

扩散系数(C)

是方差与均数的比值,用以检验种群扩散是否属于随机型的一个系数。其公式为:

分布型指数法

式中 为平均虫数;s2为方差;n为抽样数。若种群的扩散完全是随机的,则C应是符合均数为1.方差为2n/(n-1)2的正态分布。应用时,应统计出C=1的概率为95%的置信区间为:

分布型指数法

n>100时,宜用

分布型指数法

式中 n为抽样数。如实际估算的C值落入上式范围内,则为随机分布;C大于此范围时,为聚集分布。先调查统计种群密度不同的若干田块,检验C与种群密度的关系。如发现C与种群密度相关,则不宜用此法。

扩散系数也可用x2检验是否呈随机分布型:

分布型指数法

I的分布与自由度为(n-1)的x2分布相似。故若计算所得Ix20.05时,为随机分布;Ix20.05时,则为聚集分布。

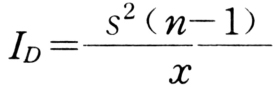
k值法

这一类包括k值、C指数、种群群集均数(λ)3种,用以估计种群的聚集度。①k值即负二项分布概率通式中的参数k:

分布型指数法

k值愈小,表示聚集程度愈大;如k→∞,则分布趋于泊松分布。k值与种群密度无关,但与取样单位大小有关,故只能对相同大小的取样单位进行比较。②C指数是k值的倒数,可作为k值的补充:

CA=1/k

C=0,为随机分布(泊松分布);C>0为聚集分布;C<0为均匀分布。③种群群集均数(λ)是另一种k值法。种群的聚集可由其本身群集行为引起,也可由环境条件(如微气候、土壤、植物生长发育状况或天敌等)不匀均性造成。群集均数(λ)可用以分析聚集的起因。

分布型指数法

式中 r分布表中自由度等于2k、概率为0.5时应处的x2值。当λ<2时,聚集可能是某些环境条件差异所引起;当λ≥2时,则可能由昆虫本身行为或外界因素之一所引起。

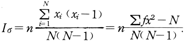
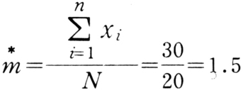
扩散型指数(I)

森下正明1959年提出。其最大优点是分布型与抽样数、抽样单位大小均无关。其公式为:

分布型指数法

式中 n为抽样数;N为总虫数;x为第i个样本中的虫数:f为样本数。当I为1时,属随机分布:I>1时,属聚集分布;I<1时,属均匀分布。

泰勒指数(b)

泰勒(L.R.Taylor,)1961年提出,表示生境对物种聚集的作用。不少动物取样中,均数(m)与方差(s2)之间呈幂函数关系:

s2=am

经对数代换后,可呈直线回归:

lgs2=lga+blgm

式中 a表示抽样因素,b则为聚集特征指数。当b→0,趋向于均匀分布;b=1,为随机分布;b→∝,则高度聚集。

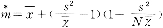
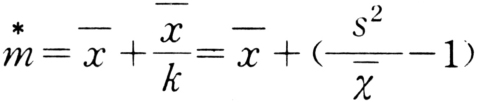
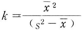
平均拥挤度(0)

这一类包括平均拥挤度和聚集指数两种。

(mean crowding,0)

劳埃德(M·Lloyd)1967年提出,又称劳埃德平均拥挤度。表示“每个样方中对于每个个体来说挤在一起的平均邻居数”的参数。以为信息的各种指数,受零样方影响,难以反映种群密度的实况,而强调个体的平均,不受零样方的影响。其公式为:

分布型指数法

分布型指数法

式中 x为第i样方内每个个体的邻居数;N为总个体数。例如下图示20个个体分布于20个样方内,从第一列左起,依次写出各样方内的邻居数(x):1,1;0;2,2,2;1,1;0;0;2,2,2;0;3,3,3,3;1,1。Σx=30,N=20,代入上式:

分布型指数法

平均拥挤度()与平均密度()及方差(s2)的关系为:

分布型指数法

式中 k为负二项分布型的参数。当k→∝,=,种群呈泊松分布。k很小,时,呈聚集分布。为计算更精确,可采用下式:

分布型指数法

聚集指数(/)日本岩俊一(Iwao)1971年提出。当/等于1时为泊松分布,大于1时为聚集分布,小于1时为均匀分布。并提出以的直线回归方程检验分布型:

分布型指数法

式中 α说明分布的基本成分,α=0时为单个个体,α>0时为个体群,α<0时个体互斥。β说明基本成分的空间分布型,β=1时,为随机分布;β>1时,为聚集分布;β<1时,为均匀分布。根据αβ的不同组合,亦可分析种群的分布型;当α=0,β=1,呈随机分布;α<0,β>1,呈均匀分布;当①α>0,β=1;或②α=0,β>1;或③α>0,β>1时,种群呈聚集分布。其中,①式组合呈奈曼A型分布,泊松一正二项分布;②式组合为具公共值的负二项分布;③式组合呈普通负二项分布。

ρ指数

表达了样方单位的大小从i-1增加到i时,的增量对增量的比值。

分布型指数法

式中 i=1,2,3,……,代表样方由小到大时的顺序号,对最小的样方(i=1),则ρ=/,即相当于上述聚集指数。ρ指数除可用以分析种群空间分布型外,特别可用于估计个体群的面积。以样方单位的大小为横坐标,ρ值为纵坐标作图,根据图形的变化测定个体群的面积。①当分布的基本成分为个体或为密集的个体群时,ρ<1,样方小于个体群面积;ρ≥1,样方大于个体群面积;②当分布的基本成分为疏松的个体群时,ρ>1,样方小于个体群面积;ρ值显著下降,样方大于个体群面积。在二者的转折点处(如图上的箭头),所对应的样方单位大小,即可表示个体群的面积(见图)。

样方大小和ρ值关系图