登录| 注册    
收藏  点赞 

判别分析预测法

又叫分辨分析法,是用判别函数预测害虫发生量的方法。其步骤为:将预报因子和预报量分为2级或多级,对预报因子进行线性组合,构成一个判别函数;先确定一个临界值作分辨指标,然后计算判别函数式中的系数,求出临界值;应用时,将预报因子的实查值代入判别函数式,求出预报值,将此值与临界值相比较

又叫分辨分析法,是用判别函数预测害虫发生量的方法。其步骤为:将预报因子和预报量分为2级或多级,对预报因子进行线性组合,构成一个判别函数;先确定一个临界值作分辨指标,然后计算判别函数式中的系数,求出临界值;应用时,将预报因子的实查值代入判别函数式,求出预报值,将此值与临界值相比较,可预报害虫的发生量。

判别函数通式 将预报因子的数据进行线性组合:

判别分析预测法

式中 y为预报量;P为预报因子个数;xk(k=1,2,……,y)为预报因子;ck为系数。二级判别法中的x分为2级,故(1)式为:

y=C1x1+c2x2 (2)

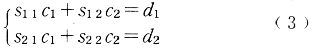
则y值亦分2级,可确定一个yc为分辨指标,当y≥yc时为A级,y<yc时为B级。判别函数中ck满足以下方程组:

判别分析预测法

判别分析预测法

二级判别函数中P=2,方程组可写为:

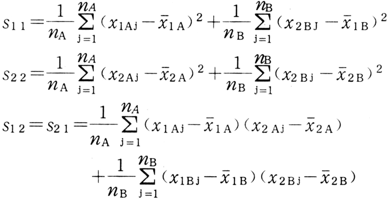
式中 d1,d2为各因子的平均差,即:

;S11、S22和S12=S21为各因子的代表自相关系数。求法为:

判别分析预测法

资料处理

将当地某种害虫某世代盛发期发生量(y)分为A、B二级,如每百株50头虫以上为A级,50头虫以下为B级。预报因子分为x1x2二级。将历年y、x1和x2值列表,则预报因子和预报量的总组数n=nA+nB(A级组数为nA,B级为nB)。分别求各类因子平均值:

判别分析预测法

再求S11,S12,S21,S22,d1,d2各值,将各值代入(3)式,解得cl,c2值,再代入(2)式,求出y值。

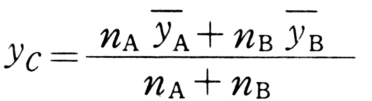
求临界值yc 求临界值的公式为:

判别分析预测法

式中

判别分析预测法

代入后,

判别分析预测法

预报方法

将预报因子数值代入(2)式求得y值,与临界值yc相比较。

时,若:y>yc,可预报A级;若:y<yc,可预报B级。当时,若y>yc,可预报B级,若y<yc,可预报A级。