登录| 注册    
收藏  点赞 

群落多样性

群落特性之一,是群落中物种数和各物种个体数构成群落结构特征的一种表示法。多用以信息论为基础的多样性指数(diversity index)表达。它是比较群落稳定性的一种指标

群落特性之一,是群落中物种数和各物种个体数构成群落结构特征的一种表示法。多用以信息论为基础的多样性指数(diversity index)表达。它是比较群落稳定性的一种指标,在害虫综合管理的效益比较中具有重要意义。

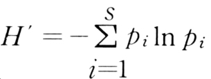
香农-维纳多样性指数

系香农和维纳(C.E.Shannon and N.Wiener)1963年提出的,是描述种群多样性最常用的指标,其计算式如下:

群落多样性

式中H′为香农-维纳多样性指数;P为第i个物种的重要值(个体,生物量或能量)与全部物种总重要值的比值;s为种类数。

例如:在生境A中仅有2种,其中1种占全部种数的0.9,另1种占0.1;在生境B中亦有2种,其数量相等,即各占0.5;在生境C中有3种,其数量与总数的比值分别为0.7,0.2,0.1;在生境D中亦有3种,其数量相等即各占0.33;在生境E中有4种,其数量与总数的比值分别为0.5,0.3,0.2,0.1;在生境F中亦有4种,其频率分布相等(见表)。

H′和H计算结果表

从结果看出:香农-维纳多样性指数能够反映出群落结构的基本特征。当生境内种数较多,H′值较大;当生境内各种群数量的分布频率差别缩小,H′值也较大。群落中具有较多的种,各种群的数量频率分布趋于一致,表示这个群落的多样性较大,同时具较大的香农一维纳多样性指数值。可见此指数比较符合群落多样性的生态学含义。

麦克阿瑟多样性指数

美国麦克阿瑟(D.R.MacArthur)1967年在香农—维纳多样性指数的基础上提出的公式如下:

群落多样性

式中 H为麦克阿瑟多样性指数,其他符号同香农指数。HH′性质相同,但其数值特征更明确(见上表)。当生境中所有种的数量频率相等时,其指数值与种数相等当种的数量频率分布不相等时,其指数值小于种的总数(HS);若种的数量差异最大时,则其指数值趋近于0。

辛普森多样性指数

辛普森(E.H.Simpson)1949年由概率论导出的测量多样性的计算式,被称为辛普森多样性指数(D)(Simpson’s index of diversity):

群落多样性

式中 N为群落中第i种的个体数;N为群落中总个体数;i为1,2,……s;此指数对稀有种起作用较少,对普通种作用较大,也是描述群落多样性的指数之一。