登录| 注册    
收藏  点赞 

群落稳定性

群落特性之一,即群落中一种阻抑种群波动的力量,或使系统从扰动中恢复平稳状态的能力。稳定性包括4种情况,即现状稳定性,时间过程稳定性,抗扰动能力稳定性和扰动后回复平稳的稳定性。生态学界关于群落复杂性或多样性与稳定性的关系,迄今存在着对立的观念。多数学者支持复杂性意味着稳定性的结论(C.S.Elton,1958;E.G.Hutchinson

群落特性之一,即群落中一种阻抑种群波动的力量,或使系统从扰动中恢复平稳状态的能力。稳定性包括4种情况,即现状稳定性,时间过程稳定性,抗扰动能力稳定性和扰动后回复平稳的稳定性。

生态学界关于群落复杂性或多样性与稳定性的关系,迄今存在着对立的观念。多数学者支持复杂性意味着稳定性的结论(C.S.Elton,1958;E.G.Hutchinson,1959),或多样性导致稳定性的结论(R.H.MacArthur,1955,D.Pimentel,1961)。有的学者则持相反的观念(R.M.May,1973,1976;K.E.F.Watt,1968)。

皮门泰尔(D.Pimentel,1961)的试验证明:在单一物种的种植区中,害虫易猖獗发生,在多物种混合种植区中,较少见到害虫暴发现象。可见前一群落比后一群落容易产生种群波动。这一现象涉及群落的营养结构及物种之间的能量流动途径,以及群落内种群在时间、空间上的变动,是物种在超维空间环境下对生境适应的结果。

群落中捕食者(o)与猎物(·)之间的几种食物连锁关系

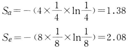
麦克阿瑟(R.H.MacArthur,1955)认为多样性和稳定性是一致的,多样性增加,稳定性也会增加,主张应用香农指数表示稳定性(S):

S=-Σpilnp

式中 P即第i种的重要值。他根据群落中捕食者与猎物的关系举例(见图)。图中a,b,d这几个组合在系统中可导致相同的稳定性。而c这个组合稳定性较高,因为它有较繁杂的食物连锁关系。e是由5个物种组成的系统,各捕食者可以取食其下营养阶层的猎物,提供了能量流转的8条路线,表现出最高的稳定性。有5个物种的e系统与有8个物种的c系统,是同样稳定的。他假设有4条能流通路的a和b,每条路线上的能流相等,则每条路线容纳食物链中总能量的1/4;而e为有8条能流路线的系统,每条路线容纳总能量的1/8。按上述公式计算图中a和e两个系统的稳定性,分别为

群落稳定性

可见群落结构的复杂性可以增加能流路线的复杂性,而能流路线的增加,又能显著地增加群落组成的稳定性。

食物网越复杂,群落对引起种群大小波动的环境变化缓冲得越完善,这种缓冲可以导致一个系统增加稳定性。某些物种的生存似乎依赖于由一个顶位捕食者所产生的系统的稳定性。随着自然条件的变化,一个群落组成将在不同程度上因受扰动而波动,稳定性也可认为是对一定扰动的自我平衡调节机制。群落中物种数目的增加,往往能提高群落的稳定性。每一个营养级的捕食者的捕食幅度,也是决定稳定性的因素。尤其是群落中那些物种数目多而种群数量少的种类,在保持群落稳定性中起着重要的作用。食物网越复杂,群落对环境变化的扰动或对种群的波动,都有一个容量较大的反馈调节系统,可以增加其稳定性。

与上述观念相反,梅(R.M.May,1973、1976)等根据捕食模型的推导,以及理论生态学的观点,认为复杂系统比简单系统更不稳定。并认为生态系统的波动不是呈直线的,复杂的自然系统常是脆弱的,如热带雨林这一复杂系统比温带森林更易遭受人类干扰而不稳定,沼泽、海滨群落的物种比较单纯,却对人类干扰有较大的稳定性。

尽管梅等人在多样性与稳定性的关系上提出了一些有说服力的证据,但总的趋势仍然认为,高度多样性是稳定自然系统的特征之一。