登录| 注册    
收藏  点赞 

生态效率

生产力生态学研究中的重要指标,是在能流过程中食物链不同点上能量的百分比;或是一种或多种生物(或过程)中可利用能量与实际利用能量的百分比;或是所生产的物质量或能量与生产这些物质或能量所消耗的物质量或能量的百分比。可分营养级之间的能量比值和同一营养级中能流过程各个点上能量比值两类。不同营养级间根据不同能量作用的比值

生产力生态学研究中的重要指标,是在能流过程中食物链不同点上能量的百分比;或是一种或多种生物(或过程)中可利用能量与实际利用能量的百分比;或是所生产的物质量或能量与生产这些物质或能量所消耗的物质量或能量的百分比。可分营养级之间的能量比值和同一营养级中能流过程各个点上能量比值两类。

不同营养级间

根据不同能量作用的比值,生态效率有多种计算表示法。

①营养级间输入能量效率(trophic level energy intake efficiency),或称林德曼效率(Lindeman's efficiency),是营养级间输入能量(I)的比值:

生态效率

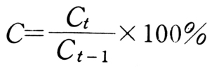
式中 I为输入能量;t—1和t表示上下两营养级。②林德曼的摄食效率(intake efficiency),是营养级间摄食量(C)的比值:

生态效率

③营养级间同化效率(assimilation efficiency),是营养级之间同化量(A)的比值:

生态效率

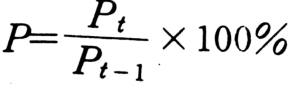
④生产效率(production efficiency),是营养级之间生产量(P)的比值:

生态效率

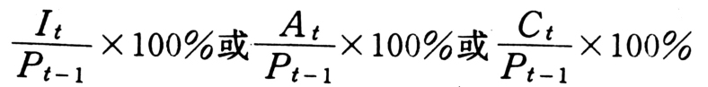
⑤利用效率(utilization efficiency),是营养级输入量(I),或同化量(A)、摄食量(C)与上一营养级生产量的比值:

生态效率

同一营养级中

生态效率也有多种计算表示法。

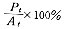
①组织生长效率(tissue growth efficiency),是生产量(P)与同化量(A)的比值:

生态效率

②生态生长效率(ecological growth effici-ency),是同一营养级生产量(P)与输入能量(I)或摄食量(C)的比值:

生态效率

③同化效率(assimilation efficiency),是同一营养级同化量(A)与输入能量或摄食量的比值:

生态效率

对于初级层次AI即为P(总生产量)、L(总光量)、L(有用光量)。如对于初级生产者(植物),光合作用效率(photosynthesis efficiency)计算式为:

生态效率

式中 P为净生产量;L为可利用的可见光量。在计算各种生态效率时,必须使用相同的单位,最好用能量单位(焦耳/面积/时间)表示。在动物中,组织生长效率与间化效率之间存在相反的关系(见图),而生态生长效率稳定地保持在20%左右。

动物种群中组织生长效率、生态生长效率和同化效率之间的关系