登录| 注册    
收藏  点赞 

系统分析

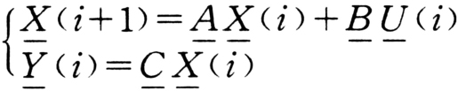
系统状态,作为控制一个系统的基础。因此,须知道对系统的哪些特征进行测量,才能确定系统的全部状态,设系统的方程为: 系统分析 式中 为状态向量;为输入向量;为输出向量;、、、为矩阵;如果在时刻t的状态(t),都可通过由一个有限时间间隔[τ、t],(τ<t)的输入U[τ、t]及输出Y[τ、t]的观察值确定,则称系统在时刻t是可观测的。若系统在任何时刻都是可观测的,则称为完全可观测系统。

一种以系统为对象,进行定性和定量的理论分析或实验研究,为系统综合和系统协调提供依据的研究方法。它是一门综合运用运筹学、控制论、信息论、概率论及统计学、图论、经济学、计算机科学的边缘学科。20世纪60年代开始应用于害虫管理。

系统属性

系统是指相互依存的若干事物结合成的具有特定功能的有机整体。它具有可测性、可控性、稳定性、最优控制与系统最优化等属性。

可测性

通过对系统的某些数量特征进行测量、判断,以了解系统状态,作为控制一个系统的基础。因此,须知道对系统的哪些特征进行测量,才能确定系统的全部状态,设系统的方程为:

系统分析

式中 为状态向量;为输入向量;为输出向量;、为矩阵;

如果在时刻t的状态(t),都可通过由一个有限时间间隔[τt],(τt)的输入U[τt]及输出Y[τt]的观察值确定,则称系统在时刻t是可观测的。若系统在任何时刻都是可观测的,则称为完全可观测系统。

可控性

了解系统状态后,为使系统达到一定目的,还须加以控制。为把系统控制到预定的目的,就需要知道选哪些控制变量方可把系统引向预定目的,这就是可控性问题。若有一无约束控制信号,在有限的时间间隔ttt内,能使t时的状态转移到任意终止时t的状态,则称方程所描述的系统在t=t时是可控的;若在每个状态都可控,则称该系统是完全可控的。

稳定性随着时间推移系统总停留在某一平衡状态,这时。如果一个系统在平衡态时,当它受到外部干扰从平衡态变动,仍具有恢复原状态的能力,则称此系统在此平衡状态是稳定的。

最优控制与系统的最优

化设系统的状态方程为:,若寻找一个输入向量U(t)=g[X(t),t]满足以上方程,而使X(t)和预定系望的状态在一定准则下最接近,则称为最优控制。即使系统行为达到期望行为的输入的最优化。而系统的最优化就是求系统结构的最优化,也就是解极值问题,即求某一乏函的极大或极小值:

10φ[X(t),U(t),t]dt=min(或max)

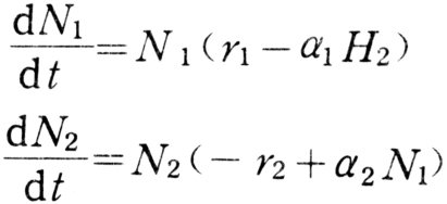
式中 φ是衡量系统性能的函数。这样,系统的最优化就是使系统的某些经济指标、性能指标或参数指标达到最大或最小。现以一个最简单的捕食者-猎物系统为例,两种昆虫种群密度分别为N1(害虫)与N2(天敌),这是一个相克过程,在一定条件下,N1N2随时间变化而按下列规律变动:

系统分析

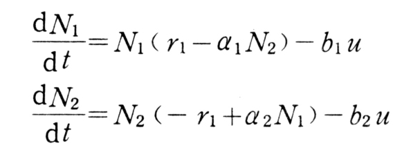
式中 r1r2α1α2为常数。这一组方程实为洛特卡一沃特拉捕食者—猎物系统数学模型。如果在上述两个种群中加进农药因素,则其数量将按下列方程变化:

系统分析

式中 b1b2为正的常数,u为控制输入量(即农药量)。这里值得考虑的是在给定时间内,如何使N1达到最少,而N2尽可能大。所以这是一个应用系统分析的例子。

图1 “黑箱理论”

图2 由三级组织层次构成的生态系统的结构和过程,被视为一组有等级的“黑箱”

系统分析方法

有权函数、状态变暈描述、多级递阶控制、结构模型解析4种方法。

权函数(或传递函数)法

经典的系统分析方法,即将系统的输入和输出的关系通过传递函数GS)表示。这种方法称为系统的外描述。因GS)所建立的系统输入与输出关系不能表明系统内部结构。即:

YS)=GSUS

式中 YS)是输出的拉氏(Laplace)变换,US

是输入的拉氏变换。这方法即所谓“黑箱理论”(图1)。即把不清楚内部结构的对象看成黑箱,外部对于该对象的作用看成输入,而该对象对于外部作用的响应看成输出。例如,可把某一生态系统看成一黑箱(图2),通过研究任何一黑箱的输入和输出的关系,即使不知这个黑箱的组成成分,亦能按照输入和输出的关系预测黑箱的行为。这是控制论常用的方法。这样,系统可看成是输入空间到输出空间的映射;

Y(t)=S〔Xt)〕

系统可以呈线性的,亦可以呈非线性的,若具有:

S[λ1X1t)+λ2X2t)]=λ1S[X1t)]+λ2S[X2t)]

的性质,称为线性系统(λ1λ2为常数)。否则,称为非线性系统。系统又可分非时变系统和时变系统。若输入有时滞,输出亦有同样的时滞,并无其他影响,则为非时变系统,即若t)=St)〕,则有t+τ)=St+τ)〕;反之若t+τ)≠St+τ)〕,则为时系统。若系统随时间而变化时,则称动态系统。描述动态系统的数学模型称为动态模型。系统还可分为连续时间系统与离散时间系统。对连续时间系统用微分方程来描述。其线性系统方程为:

系统分析

式中 n×n矩阵;n×m矩阵;p×n矩阵。其非线径系统方程为:

系统分析

对离散时间系统用差分方程描述,其线性系统方程为:

系统分析

其非线性系统方程为:

系统分析

状态变量描述法

系统的状态空间描述多用这种方法,以便对系统的内部联系进行分析,又称为系统的内描述(图3)。系统包括有:

输入集(U)=〔u1u2u3……〕

状态集(X)=〔x1x2x3……〕

时间集(T)=〔t1t2t3……〕

输出集(Y)=〔y1y2y3……〕

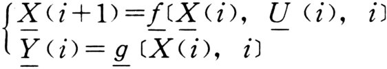
由于同样的刺激产生多种反应,这种反应除生物体的行为特征瞬间所受的刺激数值外,还受某些历史作用的影响。状态的概念就是表示生物体的行为对历史的依赖性。例如使用同一种农药防治棉铃虫幼虫种群(N),由于种群的年龄不同,杀虫效果有不同,若均为1~2龄幼虫种群,杀虫效率则高;若全为老龄幼虫,则杀虫效率低。其中农药即为输入Ut),棉铃虫幼虫种群年龄即为状态变量Xt),用药后剩余的虫口即为输出Yt)。状态概念的应用就是要构成一个物体的状态空间的描述。而状态是用状态变量描述的。对于状态空间的描述:在离散情况下为:

Xt+1)=F〔X(t),U(t),t

Y(t)=G〔X(t),U(t),t

在连续情况下为:

系统分析

多级递阶控制法

广泛应用于大规模生产系统的自动控制、管理信息系统、农业生态系统管理的最优设计等,即大系统的分解与协调。将处于同一级地位的各子系统相对分离开来,并使之各自按其最优化方式运转。然后,再把这些子系统统一规划,使之协调起来,最后达到全局和整体上的最优化。只有每个子系统的方程和目标函数都不受其他子系统的状态变量及控制变量影响时,才能把大系统分解成多个子系统。每一步递推过程都必须把分解与协调交错进行,分解时必须改变子系统的方程和目标函数;协调时,主要有两个原则:平衡原则与预估原则(图4):

图3 状态变量描述法示意图

图4 多级递阶控制结构示意图

结构模型解析法(ISM)

系统地、反复地应用图论概念,将所研究的系统表示成一种一组元素集合之间有着紧密衔接关系的复杂有向图。其目的是把不清楚的、粗糙的构思模型变换为可见的、易确定的、有用的结构模型。其过程如图5:

图5 结构模型解析法示意图

首先,根据情况确定应包括的元素集合S和各元素中每两个之间的从属关系R;其次,由SR求出原始结构图D或其伴随矩阵A;第三,“嵌入”:根据A算出可达矩阵MR和前项集合a,“并求出递阶结构的元素集合S;第四“分级”:从M算出可达集合。最后,“抽取”:将可达矩阵移位分块,得出递阶结构的分块可达矩阵M,由M转换成递阶结构图D

灵敏度分析

系统模型的参数在整个系统中是可以改变的,通过灵敏度分析变动系统中的参数,就可检验出各个参数对系统输出的贡献大小。此结果可应用于确定未来的研究方向,并能明确提供研究项目,安排先后次序。如果结合经济效益指标或性能指标等进行动态分析,即可获得对该系统的最优控制方案。

组建系统模型的步骤

通常在组建系统模型时,有6个逻辑步骤:①确定模拟对象,即明确研究目标。②应用系统、环境两分法原理确定系统结构,即划出系统的边界。首先确定与系统有关的分量组成系统结构,然后将其余部分都归纳为它的环境。这样设立系统的边界就意味存在着包围系统的外部环境。这对系统在某个过程中的约束条件的形成有直接关系。③建立系统的数学模型:首先将每个分量从系统中孤立出来研究,建立各个分量的模型,然后根据系统观点,将分量模型,按照各分量之间相互作用的约束条件连结起来构成系统模型。④模型的有效性检验:即检验组建的系统模型是否符合客观实际,如果不符,还需进行修改。⑤系统的灵敏度分析。⑥系统的模拟和控制。