登录| 注册    
收藏  点赞 

寻找效应

在捕食或寄生过程中天敌对害虫攻击的一种行为效应。天敌作用的大小与其本身的寻找力有关。寻找效应的高低又与害虫种群密度、天敌种群密度和气象因素有着密切的关系。与害虫密度的关系霍林(C.S.Holling,1959)假设捕食者的寻找效应不随猎物种群密度增加而加大,即捕食者的食欲是有上限的;且在不同猎物密度下

在捕食或寄生过程中天敌对害虫攻击的一种行为效应。天敌作用的大小与其本身的寻找力有关。寻找效应的高低又与害虫种群密度、天敌种群密度和气象因素有着密切的关系。

与害虫密度的关系

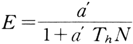
霍林(C.S.Holling,1959)假设捕食者的寻找效应不随猎物种群密度增加而加大,即捕食者的食欲是有上限的;且在不同猎物密度下,捕食者寻找猎物所需时间是不同的。他提出一个寻找效应(E)的模型(图1):

图1 寻找效应与寄主密度的关系

寻找效应

式中 a′为捕食者的攻击率;T为捕食者对猎物的处置时间;N为猎物种群密度。

与天敌密度的关系

哈塞尔(M.P.Hassell,1969)注意到天敌种群密度的增加引起相互干扰,将影响天敌的寻找效应。他提出用lgE与lgP的直线回归斜率(m)进行估计。用以反映捕食者的寻找效应系随捕食者种群密度的增加而下降(图2):

lgE=lgQ-mlgPE=QP-

式中 mQ分别为直线的斜率和截距;m为相互干扰参数,Q为寻找参数;P为时间t时,捕食者种群密度。

图2 天敌种群密度与寻找效应的关系

与寄主密度、天敌密度的关系

贝丁顿(J.R.Beddington,1975)提出以下模型(图3):

寻找效应

式中 b为天敌之间相遇率;T为每个相遇者消耗的时间;R=P-1(P为天敌密度)。

与气象因素的关系

气象因素对寻找效应的影响是明显的,尤以温度作用最显著。在适温范围内,寻找效应随温度的上升而增大。在越过适温范围时,寻找效应则随高温的上升或低温的下降而降低。

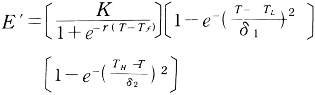
丁岩钦等1983年研究在不同温度下,南方花蝽成虫对棉铃虫卵的捕食率,提出了在最低与最高临界温度间,天敌寻找效应的数学模型:

寻找效应

式中 E′为天敌攻击率;T为温度;KrTTTδ均为参数。K为天敌的极限攻击值;r为天敌内禀攻击率;T为天敌攻击的最适温度;T为天敌攻击的最低临界温度;T为天敌攻击的最高临界温度;δ为两临界温度与攻击系数迅速下降点的温度之间的变化幅度。

图3 寻找效应、寄主密度和天敌密度的关系