登录| 注册    
收藏  点赞 

离心技术

利用物体高速旋转产生的离心力分离、纯化、制备实验材料,并研究其生物学特性的实验方法。应用于微生物菌体和动植物细胞收集,亚细胞结构、蛋白质、核酸、激素、病毒和其他高分子化合物研究,以及疾病临床诊断。原理液体中的微粒在重力作用下,密度大的下沉,密度小的上浮。其沉浮的速度与微粒的大小、形状、密度以及重力场的强度、液体的粘度有关。微粒越小,沉降越慢,扩散现象越严重,依靠重力难以再将它们分离。

利用物体高速旋转产生的离心力分离、纯化、制备实验材料,并研究其生物学特性的实验方法。应用于微生物菌体和动植物细胞收集,亚细胞结构、蛋白质、核酸、激素、病毒和其他高分子化合物研究,以及疾病临床诊断。

原理

液体中的微粒在重力作用下,密度大的下沉,密度小的上浮。其沉浮的速度与微粒的大小、形状、密度以及重力场的强度、液体的粘度有关。微粒越小,沉降越慢,扩散现象越严重,依靠重力难以再将它们分离。离心技术采用高速旋转的离心机,使溶液获得比重力场大若干倍的离心力场发生高速旋转,溶液中的微粒得以分离、纯化,并研究它们在强大的离心力场中的运动状态,推断这些微粒的性质。被分离物质一般悬浮于液体介质中,盛在离心管里,然后将离心管置于金属制转头中。离心机内的电机通过驱动轴带动转头旋转,产生离心力场。转速在6000转/分以下的称为普通离心机,常用于悬浮粒子的分离和较大细胞的收集;转速在6000~25000转/分称为高速离心机,常用于细菌、细胞器等微小粒子的分离、收集;转速在25000转/分以上的称为超速离心机,常用于病毒粒子分离、亚细胞结构和生物大分子性质研究。

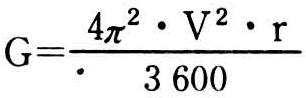
不同形状、大小和密度的微粒在离心力场中沉降的速度不同。沉降速度主要取决于离心力场的大小。离心力场(G)的大小由转头的角速度(ω,弧度/秒)和微粒离旋转轴的辐射距离r(cm)决定,即:G=ω2r。

离心操作中以每分钟转头旋转圈数(V)表示转头的转速。转头旋转一周等于2π弧度。所以离心力场:

离心技术

离心力场的大小在低速(5000转/分以下)运转时大多以每分钟转数(r.p.m.)来表示。高速和超速运转时,离心力场一般用相对离心力场(RCF),即重力加速度g(980cm/s2)的倍数表示。书写方式用RCF的算术数值后跟g或×g表示。

在单位离心力场作用下,微粒的沉降速度称沉降系数。它的基本单位为Svedberg,简称S,量纲为秒。1S单位等于1×10-13秒。

沉降系数受到离心沉降粒子的形状、大小、密度,以及介质的密度和粘度等因素影响。因而当某些生物大分子或细胞器的组成结构、分子量等尚未了解时,可以用沉降系数对它们作初步描述。例如大肠杆菌核蛋白体是70S,它由两个沉降系数分别为30S和50S的亚基组成。并用30S和50S命名这两个亚基。在蛋白质中也用沉降系数作为描述分子结构特征的一项指标。如溶菌酶的沉降系数是2.15S、过氧化氢酶的沉降系数是11.35S。

粒子的沉降速度除了取决于离心力场的大小外,还与粒子的密度、半径、形状以及悬浮介质的粘度有关。

方法

生物学研究中的离心操作过程可分为制备性离心操作和分析性离心操作。

制备性离心

目的是收集大量的微生物菌体、动植物细胞,分离纯化细胞器、核酸、蛋白等生物大分子或生物活性物质,作进一步的生物学研究。

制备性离心机由驱动电机、转头、离心管、离心室以及仪表和控制系统组成。离心室附有制冷装置和抽真空装置,保证高速运转的转头温度恒定,减少阻力。转头和电机用柔性轴联结,以便高速运转平衡后,转头自己形成的旋转轴线与驱动轴合一。离心管以高分子聚合物或不锈钢制成。使用中特别需要注意离心管重量的平衡,和离心管盛放离心溶液后的化学稳定性。制备性离心机转头可分为定角转头、摆角水平转头和桶形转头。定角转头强度高,被分离粒子行程短,离心分离时间短,但已分离物质易发生扰动现象。摆角水平转头加速和减速过程中被分离物质不易发生扰动,适用于密度梯度离心。桶形转头适用于大量样品的分离。使用转头时应注意转头的最大额定转速和使用时间限度。

制备性离心操作采用的方法有:差速离心、密度梯度离心和等密度梯度离心(又称平衡等密度离心)。差速离心利用低速和高速离心交替进行,用不同强度的离心力场使不同物理性质的物质分批分离,适用于沉降速度差别大的混合样品的分离。密度梯度离心用于分离差别小,沉降系数很接近的粒子。离心前需在离心管中制备一个密度以梯度排列的溶剂系统,然后加入待分离物质进行离心。样品中的微粒按其自身的比重向相应密度的溶液位置移动。离心结束时,相同物理性状的微粒只能停留在某两种比重的溶液界面上。界面下方的溶剂比该微粒重,界面上方的溶液比该微粒轻。不同比重的微粒分布在不同的界面上。用于制备密度梯度的物质应不会引起样品的凝聚、失活或变性。通常使用蔗糖、甘油、盐类制备密度梯度。等密度梯度离心是测定微粒浮力密度的静力学方法。溶液的密度梯度不在离心前制成,而是将氯化铯溶液和待离心的样品一起均匀地注入离心管,然后在离心过程中自行形成氯化铯的密度梯度。被分离物质随着密度梯度的形成移向相当于其本身浮力密度的位置。每种被分离物质形成一条狭窄的带。选择氯化铯浓度的原则是,该浓度应在待分离物的密度范围内。

分析性离心

主要用于研究物质的纯度、分子量和微粒形状的推断以及临床诊断,它只需很少的样品,使用的离心机应有一个光学系统连续地监测物质在离心场中的行为。常用的光学观察方法有:柱面透镜法、光干涉法、尺度法和光吸收法。利用折射率不同建立的干涉量度法准确度高。利用紫外光吸收的观察方法测核酸和蛋白类物质灵敏度特别高。

使用分析性离心机测定沉降系数,再根据斯维伯格(Svedberg)方程可以推算物质的分子量。测定物质分子量前,应使被测物质纯净。用沉降速度技术来分析沉降界面是测定试样均质性的最广泛使用的方法之一。出现单个清晰的沉降界面,一般认为该物质是均质的,杂质则以另外的峰出现在主峰的二侧或一侧。

生物大分子构像的变化可通过分析性离心检查样品的沉降速度的差异来证实。分子越是疏松不规则,摩擦阻力越大,沉降就越慢。

分析性离心常用于临床异常血浆蛋白和不同密度脂蛋白分析,成为疾病诊断的有效工具。