登录| 注册    
收藏  点赞 

免疫酶技术

用某种酶标记抗体作为探针,用以检测抗原或抗体(一抗)的技术。本法最初用于生物组织中抗原的鉴定和定位,随后发展用于鉴定免疫扩散及免疫电泳板上的沉淀线,到1971年恩格威尔(E.Engvall)等建立了酶联免疫测定,这一技术的建立被认为是血清学技术的一场革命,是目前最有发展前途的免疫检测技术

用某种酶标记抗体作为探针,用以检测抗原或抗体(一抗)的技术。本法最初用于生物组织中抗原的鉴定和定位,随后发展用于鉴定免疫扩散及免疫电泳板上的沉淀线,到1971年恩格威尔(E.Engvall)等建立了酶联免疫测定,这一技术的建立被认为是血清学技术的一场革命,是目前最有发展前途的免疫检测技术,其检测抗原的灵敏度已达ng水平。

原理

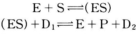
酶的催化过程有二种基本形式:

免疫酶技术

E为酶,S为酶作用的底物,P为底物分解后的产物,如S为无色化合物,P为有色化合物,即可使底物呈色反应显示酶的存在。

免疫酶技术

在此类催化反应中,必须同时存在供氢体D1,在底物水解时使D1由还原型变为氧化型D2;如D1为无色化合物,在催化作用中,即呈现显色反应。

免疫酶技术的基本程序是将酶分子与抗体或抗原共价结合。此种结合既不改变抗体的活性,也不影响酶的活性,此酶标记抗体可与存在于组织细胞或吸附于固相载体上的抗原或抗体发生特异性结合。滴加底物后,底物可在酶作用下水解呈色,或使底物溶液中的供氢体由无色变为有色,因而可借底物的呈色反应来指示是否有相应的抗原或抗体存在。所呈颜色的深浅与标本中待测抗原或抗体的量呈正比。此种有色产物可用肉眼或在显微镜下看到,或用分光光度计加以测定。这样,就将酶化学反应的敏感性和抗原抗体反应的特异性结合起来,用以在细胞或亚细胞水平上,示踪抗原或抗体的所在部位,或在ng水平上测定它们的量。

用于标记的酶

与催化底物反应后出现呈色反应、高度敏感、稳定、易于获得并能商品生产的酶均可用于标记,常用的有以下几种:

辣根过氧化物酶

HRP

由辣根中提取,由多个同工酶组成,分子量约40000,作用的底物为过氧化氢,催化时需供氢体,视供氢体不同,出现不同的颜色反应,供氢体根据产物是否可溶,又分:

不溶性

①最常用的为3,3′-二氨基联苯胺,适用于免疫组化法,作抗原定位,反应后形成不溶性棕色吩嗪衍生物;②联苯胺氧化后产物呈黄褐色,多用于酶免疫扩散的沉淀线显色。

可溶性

①邻苯二胺产物橙色,最大吸收值为490nm,是ELISA中最常用的供氢体。对光敏感,使用时要避光;②联大茴香胺产物为桔黄色,最大吸收值为400nm;③5-氨基水杨酸产物为深棕色,最大吸收值为449nm,敏感性较差;④邻联甲苯胺产物为蓝色,最大吸收值为630nm,不稳定,但反应快,颜色明显。

碱性磷酸酶

系从小牛肠粘膜和大肠杆菌中提取,由多个同工酶组成,常用底物为对硝基苯磷酸盐,降解产物呈黄色,最大吸收波长为400nm。

葡萄糖氧化酶

系从曲霉提取,对底物葡萄糖作用后产生H2O2。此H2O2又是HRP的底物,如在上述反应后,再加入HRP和OPD,即可出现呈色反应,其灵敏度较HRP标记抗体高。

类型

20世纪70年代以来,酶免疫发展很快,种类繁多,尚无统一命名与分类,现仅根据其检测目的和方法,大致分以下几类:

免疫酶测定技术

用于抗原或抗体的定性或定量,主要类型详见下表:

免疫酶技术

双抗体法

其原理与放射免疫测定相似,将待检抗原与已知量抗体作用,再加入一定量的酶标抗原使与剩余的抗体结合,最后加入抗抗体(二抗)使抗原抗体复合物沉淀,在沉淀物中加相应的底物显色,待检抗原的量与显色反应强度成反比。

均质酶免疫测定

HEI

本法将抗原、抗体、酶标记物和底物加在一起,反应结束后,即可直接测读结果,操作简便,重复性好,适于一般实验室及野外条件下进行测试。HEI的具体方法种类很多,其原理、试验方法、结果检测和适用范围也各不相同,早先仅用于测定药物和激素等半抗原,现已能测定大分子蛋白质抗原和病毒、细菌等抗原;也可用以测定特异性抗体,其灵敏度已接近RIA,是一种很有前途的免疫酶测定技术。

常用的有代表性的均质酶测定法:①标记抗原法。某些酶,如苹果酸脱氢酶用以标记某些半抗原分子时,标记物中的抗原仍保持与抗体结合的能力,酶活性则受到强烈的抑制。但当标记物中抗原与抗体结合后,又可恢复酶活性,试验时,将待测标本、标记试剂、抗体和底物溶液依次混合,待反应平衡后,测定反应产物,即可根据竞争结合原理(见放射免疫测定),通过标准曲线,计算出标本中抗原含量。另一些酶,如溶菌酶与半抗原结合后,酶活性可保持不变,但当标记物中抗原与抗体结合后,则酶活性明显抑制。试验时,将待测标本、标记试剂、抗体和作为固相底物的微球菌混合作用后,即可直接用比浊法(436nm)测定菌体溶解后的浊度变化。根据竞争曲线计算出标本中抗原含量,如用带色素的细菌,如藤黄色微球菌则可根据颜色深浅,测出抗原量;②标记辅基法。本法常用的是葡萄糖氧化酶,在酸性条件下可解离成酶朊和辅酶——黄素腺嘌呤双核苷酸(FAD)。两者单独存在均无酶活性,如将FAD标记在抗原分子上,游离标记物中的FAD仍能与酶朊重组成有活性的全酶。但当与抗体结合后,即失去重组能力,因此在待测抗原、标记试剂和抗体竞争结合反应平衡后,再加入葡萄糖氧化酶朊,然后测定酶活性,即可按竞争法原理计算出抗原含量。在试验设计中葡萄糖氧化酶的活性是通过另一组配对酶——过氧化物酶底物系统来显示的。葡萄糖氧化后的产物是H2O2,可作为过氧化物酶的底物,使有关供氢体氧化成有色产物,根据颜色深浅标示酶的活性。

酶联免疫测定

ELISA

是当前应用最广、发展最快的一项免疫测定技术,其基本过程是在固相载体上进行抗原抗体反应和免疫酶染色,底物显色后用肉眼或专用ELISA测定仪判定结果,常用的载体为96孔或40孔的聚苯乙烯滴定板,小孔呈凹形,操作简便,剂量少,适于大批样品的检查。

操作步骤:①包板。在载体上包被抗体或抗原;②结合反应。抗原抗体在固相载体上反应后洗去未结合物,再加入第二层或在第二层上再加第三层,每加一层均需洗涤,但最后一层必须是标记酶的结合物。视层次和所叠加的材料不同有间接法、双抗体法、双夹心法、竞争法、酶-抗酶抗体法和酶标SPA法等(见图);③底物显色。如酶为HRP时,底物为H2O2,供氢体通常为OPD。底物溶液(OPD、H2O2溶液)应在试前新鲜配制,加入各孔作用20~30分钟,加浓硫酸终止反应;④结果判读。可用肉眼观察,颜色显著深于空白对照者判为阳性,如用以定量时,需用ELISA测定仪测定。

酶联免疫测定(ELISA)方法

限量抗原底物珠法

DASS

是以溴化氰活化的琼脂糖微球作载体,将抗原或抗体交联其上,然后在此微球上进行免疫酶组化染色。根据微球是否着色判定结果。本法主要用于定性,微球可涂玻片,结果在显微镜下观察。

免疫酶定位技术

有免疫酶组化染色和酶免疫电镜二大类。前者用于细胞水平定位,标本可用组织切片(冰冻切片或低温石蜡切片)、组织压片、涂片或细胞培养。先用0.3%H2O2处理消除内源酶,然后用HRP标记染色(有直接法、间接法等),最后用底物显色。常用的供氢体为DAB,显色后在显微镜下观察,棕色区即为抗原分布部位。

用DAB作供氢体时,反应后所形成的不溶性棕色吩嗪衍生物,还能还原和螯合四氧化锇,形成电子密度产物,因此可与超薄切片染色相结合,作酶免疫电镜检查,本法用于亚细胞水平的抗原定位。

免疫酶沉淀技术

用酶标记的抗原或抗体,通过琼脂免疫扩散、免疫电泳、对流电泳等方法检测样品中相应的抗体或抗原,抗原抗体形成的沉淀线,经漂洗后,用底物显色,从而提高检测的敏感性。