登录| 注册    
收藏  点赞 

经营预测

农业企业根据内部因素和环境条件的变化,应用科学的方法,对其生产发展前景及未来经营效果进行的预计和推测。经营预测是对农业企业的生产经营动态及其发展趋势进行探索的过程,包括确定预测目标,搜集和分析数据资料,选择预测方法,建立和修正预测模型,分析预测结果等一系列活动。

农业企业根据内部因素和环境条件的变化,应用科学的方法,对其生产发展前景及未来经营效果进行的预计和推测。经营预测是对农业企业的生产经营动态及其发展趋势进行探索的过程,包括确定预测目标,搜集和分析数据资料,选择预测方法,建立和修正预测模型,分析预测结果等一系列活动。

经营预测的作用

①通过对企业内部因素和环境条件变化情况的分析,掌握科学技术发展的动向、市场供需情况的变化,对企业的发展趋势及时作出准确的估计和判断,为经营决策提供可靠的依据。②在编制和执行企业计划的过程中,通过经营预测对不确定因素的变化及其影响作出切合实际的估计和评价,有利于把需要和可能结合起来,使经营计划符合客观经济规律的要求,适应社会经济情况的变化,发挥指导生产的作用。③通过经营预测,掌握社会需求的变化趋势和销售市场的发展前景,为企业开发新产品指引方向,推动技术更新,增强竞争能力。④通过经营预测,提高经营管理水平,克服企业生产的盲目性,既能保证企业取得较佳的经济效益,也有利于减少社会浪费,取得最大的宏观效益。凡是依据事物发展过程的内在联系及其发展规律来进行的经营预测,都具有科学性,但又具有近似性和局限性。预测是在客观事物变化之前作出的,预测的结果与事物将来发展的实际结果,不可能完全一致,只能大致相近;预测对象的许多因素受各种条件的影响,人们不可能全面认识影响预测的所有因素,其中还有许多非数量因素,如社会、心理因素,很难用数学模型预测其未来结果。特别是定量预测的方法有一定的局限性。

经营预测的内容和种类

预测的内容一般有:①生产和资源的预测。包括对各类农副产品的生产能力、生产技术、地区布局、发展前景以及自然资源、能源、交通、运输条件的保证程度和利用情况等的预测。②科学技术预测。包括对科学技术新成果在农业中的应用范围、效果和发展趋势的预测。③市场预测。包括对产品的社会需求、市场占有率、市场竞争能力等的预测。④经营成果的预测。包括对企业总收入和构成、成本、土地生产率、劳动生产率、人均收入以及利润增大趋势及影响因素等的预测。

经营预测的种类多种多样,应根据需要来进行:①按预测的时间长短分为长期预测、中期预测和短期预测。长期预测都在5年以上,是对经营发展前景的预测,为制定企业的远景规划提供依据。中期预测是1~5年发展前景的预测,为制定5年计划提供依据。短期预测是年度内的经营预测,为制定年度、季度、月计划提供依据。②按预测技术和要求的不同可分为定性预测、定量预测和综合预测。定性预测是以事物的性质、特点、历史延续状况等为依据,通过人们的逻辑判断进行非数量化分析,判断未来的发展趋势和发展方向。定量预测是通过建立和应用数学模型、搜集各种数据,运用电子计算机,对事物进行数量分析,并据以判断未来的发展趋势和发展方向的预测。综合预测是两种或两种以上定性、定量预测方法的综合运用,以提高预测的精确度和可靠性。③按预测是否有假设条件可分为条件预测和非条件预测。

经营预测的程序

一般按下列步骤进行:①确定预测目标。包括确定预测对象和预测要求,是外部环境预测还是产品的市场需求预测,是定性的还是定量的预测,对哪个时期进行预测等。②搜集分析资料。根据预测目标的要求,搜集的资料力求系统、准确,既要搜集直接影响目标实现的资料,也要搜集有关的间接资料。资料要具有可比性,对原始资料须进行审核和修正。还应分析各项指标的长期趋势及相互关系,揭示其发展变化的规律,以便选择预测方法和建立预测模型。③选择预测方法。根据预测对象的种类和性质、预测结果精确程度的要求、掌握的资料的数量和质量,以及预测工作条件等,合理选择效果较好、既经济又简单的分析技术和预测方法。④建立预测模型。利用搜集的资料和选定的预测方法,确定和做出预测模型。经营预测的模型主要有:时间关系模型、相关关系模型以及结构关系模型。预测模型是对被预测事物过去和现在发展规律性的模拟。它是否与实际相符,直接关系到预测结果的准确程度。⑤分析预测结果。改进预测模型。由于建立的模型是过去和现在实际情况的近似,在计算和推算过程中也会产生误差。所以每次得到预测结果之后,都应加以分析评价,并根据常识和经验去检查与判断预测结果是否合理,并进一步比较事前的预测和事后的实际值,计算它们之间的平均绝对误差和平均平方差。计算公式如下:

经营预测

式中 Yt为t期实际值;为t期预测值;t为期号;n为期数。若误差较大,则应究其原因,然后采取相应措施,以便提高预测精度。如重新选用数据,改变预测的方法或修正预测模型等。

经营预测的方法

通常采用的方法有直观预测法、时间序列预测法及因果预测法。

直观预测法

根据调查所得资料,结合过去的经验,进行分析判断,预测经营发展前景的方法,亦称“判断预测法”。常用的具体方法有:①专家调查法,亦称“专家预测法”(国外称“特尔菲法”)。先由主持预测的单位邀请若干名专家,向他们提供有关资料,请他们就某项需要预测的问题,用不署名的方式发表自己的看法,然后把这些意见汇集起来加以整理,反馈给每一个专家,请他们重新考虑再次发表自己的意见。经过多次反复,然后得出能代表多数专家意见的预测结果。②主观概率法。将各类专家或有关人员对预测事件作出的主观判断、量度及其客观的可能性,加以汇总统计,求出加权平均数,作出预测。③估计推算法。是由现在推算未来、由这一现象推算另一现象、由部分推算全体的一种预测方法。具体形式有进度推算法、平衡推算法等。进度推算法是根据期内执行计划任务的进度,推算期末完成计划的程度,即按照生产实物量、生产工时数、生产工日数等进行推算。平衡推算法是利用几个有关经济指标之间的平衡关系来推算,即根据经济指标之间的因素联系,从已知因素的数值,推算所需预测的数值。

时间序列预测法

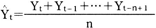
根据时间数列的变动趋势和程度,通过外延或类推来预测未来。亦称“外推法”或“延伸预测法”。常用的形式有移动平均预测法、指数修匀预测法和季节指数预测法。①移动平均预测法。根据时间数列,依次移动计算并形成包含一定项数的时间平均数列,据以进行预测的方法。运用移动平均法进行预测的具体形式有三种:第一,简单移动平均法。用过去若干期实际水平的简单算术平均数,作为预测期趋势值的方法。计算公式如下:

经营预测

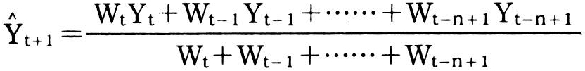
式中 n为移动期项数;t为每个移动平均数中末项的时期数;Y为每期数值;为末项为t时期的移动平均数。第二,加权移动平均法。按距预测期的远近确定权数,计算过去若干期实际水平的加权算术平均数,作为预测趋势值的方法。计算公式如下:

经营预测

式中 W为权数;t为预测期前的时期数;为t+1期的预测值。第三,增长量平均数法。是以简单移动平均数逐期增长量修正趋势值进行预测的方法。计算公式如下:

经营预测

②指数修匀预测法。根据本期的实际数和预测数,利用修匀系数a进行预测的一种方法,其公式如下:

经营预测

式中为下一期预测数;a为修匀系数,在0~1之间选取,根据平均绝对误差最小的要求,确定修匀系数a。③季节指数预测法。根据季节因素的影响,计算季节指数,用以反映季节变动和进行预测。适用于主要受季节变动和不规则变动的影响,有无明显的趋势变动的时间数列。它根据历年各月(季)的历史资料,先计算同期平均数,再将各个同期平均数相加除以项数,计算总平均数,求出季节指数,并转化为各月(季)所占的百分数,据以计算预测期的预测值。

因果预测法

一种根据实际资料的发展趋势,并从经济现象变化的因果关系进行预测的方法。主要有回归预测法,包括一元线性回归预测法、多元线性回归预测法和非线性回归预测法等。①一元回归预测法。是对两种经济变量之间一一对应的相关关系进行估计的方法。其模型为:

Y=a+bx

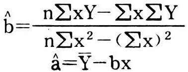
式中 Y为因变量;x为自变量;b为回归系数;a为回归常数。求解的方法有:平均值法、目估作图法、最小二乘法。平均值法的做法是,将几组数据分别代入回归方程,然后将这几个方程平均分为2组,把每组内的方程分别相加,得到一个二元一次联立方程,解之求得。目估作图法,是把n组数据点画在坐标纸上,假如这些点群形成一条直线带,就在点群中画一条直线,使得直线两边的点差不多相等。这条直线可近似地作为回归直线,利用它可在坐标纸上直接进行预测。最小二乘法,是估计误差最小的要求,求出回归系数及回归常数

经营预测

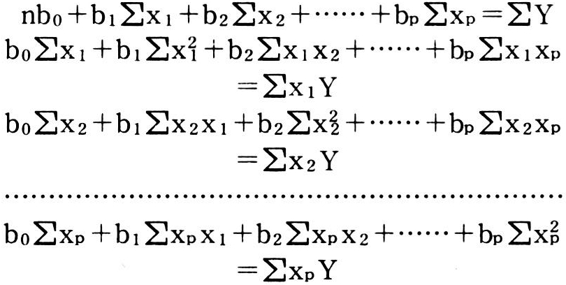
验两种经济变量的相关程度。②多元回归预测。是估计因变量Y与多个自变量x1、x2…xp有统计的线性关系的方法。其回归方程如下:

Y=b0+b1x1+b2x2+…+bpxp

式中 b为常数;b1、b2…bp为Y对x1、x2…xp的回归系数。可由正规方程求解回归常数和回归系数。

经营预测

③非线性回归预测。是指用于预测的回归方程是非线性的。需用的模型有以下几种:幂函数形式模型Y=axb;指数函数模型Y=xebx;曲线模型数函数模型Y=a+blogx:多项式模型Y=a0+a1x+a2x2+……+apxp。它们都可以转为线性模型来求解。