登录| 注册    
收藏  点赞 

农作物产量预测方法

一种重要的预测产量趋势的方法。另一种为遥感农作物产量预测,是以陆地卫星影像为主,进行统计分层(即分类型),并参照航空像片进行定点抽样,以计算面积,即利用面积抽样框图或其他抽样方法,随机抽取样本,把地面监测与遥感分层结合起来,以预测产量。遥感是一门新技术,在产量预测方面尚属早期阶段,随着科学的发展,今后将逐步提高预测精度,成为一种重要的农作物产量预测方法。

在农作物生长时期预先测算产量所采用的手段。包括经验估产法、要素测定法、卫星遥感预测法、回归模式预测法等。

经验估产法

亦称“目测法”。调查者根据农业生产的基本条件和农作物的生长情况,考虑到增产技术措施和当年气候对产量的影响,凭经验和眼力来评定农作物单位面积产量。目测是以调查者的经验为基础的,当出现新情况,如某项新技术的采用,优良品种的推广,或者当农作物出现异常灾害侵袭而遭受严重损失,以致对农作物生长状态的判断超越调查者原有经验时,估产往往会出现较大误差。一般是在丰收时估产偏低、歉年偏高。这时,必须认真查好标准田块的产量,或用产量要素测定法等,以核准估产结果。由于作物生长季节气候变化大,目测要求多次进行,这样可使估产结果一次比一次接近实际。

要素测定法

亦称“查棵数粒法”。在农作物成熟时期,对其计算产量的要素进行测定。例如根据水稻的每亩穴数、每穴穗数、每穗粒数与粒重(或千粒重),冬小麦的每亩有效穗数、每穗粒数、粒重(或千粒重),分别计算水稻与小麦的每亩产量,然后结合播种面积计算总产量。农作物产量计算要素数量的大小受气候、农业技术等的影响。例如冬小麦的有效穗数与越冬气候、土壤水分有关,每穗粒数与品种、肥料有关,千粒重与气候、肥料、水分有关。因此,调查者除实地踏查外,还需全面了解农情,作出记录。测定一般分三期进行,每次要求不同,如在小麦越冬后要查存活苗数,拔节后要查分蘖数,成熟时要查有效穗数、每穗粒数、千粒重。测定时先在地块上选点,如梅花形选点、对角线选点,再计算有效穗数、每穗粒数及千粒重(如果小麦处在成长期,只能根据历史资料结合小麦生长情况,估计千粒重)。由于大量收割工作损失较大,在计算每亩产量时,还需扣除割、拉、打损失。

卫星遥感预测法

基本上可以分为两种。一种是利用环境和气象卫星的高度分辨辐射计,以进行大面积作物生态环境和产量预测。它是按五条光谱带隔一定时间(例如一天)记录地面辐射,其中两条光谱带(红与红外)用以计算所谓“绿度”,从而得出作物生长指数。红光谱带记录叶绿素的吸收作用,而红外线光谱带则表明作物旺盛长势的反射率,在计算机上进行像源的绿度值计算,或是进行光密度的彩色编码,找出作物长势与影像光密度或彩色的关系,如棕/橘色表示单位面积产量为低水平,白/绿色为中等水平,红/紫色为高水平。这样,卫星影像绘出的作物的发展趋势,必然也是作物生长条件的指标,即作物生长指数与绿色植被的相关程度,取决于作物的类型和密度、地理位置(地形、土壤、水分、土地利用等)及气候条件(特别是云雾遮盖看不清楚)。一定时期的影像可以监测降雨量与其他因素对作物某一发展阶段的影响。至于作物生长指数地图由某个时期(年、月)的无云量影像拼凑而成,它明显地表示绿色作物季节和年度变化的情况。这种卫星遥感技术不论面积多大和变化多快都能连续监测。在发展中国家(包括中国)由于缺乏一定的产量与面积资料,遥感将是一种重要的预测产量趋势的方法。另一种为遥感农作物产量预测,是以陆地卫星影像为主,进行统计分层(即分类型),并参照航空像片进行定点抽样,以计算面积,即利用面积抽样框图或其他抽样方法,随机抽取样本,把地面监测与遥感分层结合起来,以预测产量。遥感是一门新技术,在产量预测方面尚属早期阶段,随着科学的发展,今后将逐步提高预测精度,成为一种重要的农作物产量预测方法

回归模式预测法

回归是研究客观事物特征的数量关系的一种重要统计方法。应用于农作物产量预测时,主要是探讨农作物生长期各项因素与产量间的回归关系。影响农作物产量的因素很多,大致可分为四类:气候、土壤、生物及农业技术措施,其中气候因素波动较大,是导致产量预测出现较大误差的主要因素。但由于有的地区气候有利,而有的地区气候不利,这种地区间的抵销作用,就全国范围看,回归预测还是比较稳定的,与目测一样,多作几次预测,特别在成熟期的预测更接近实际。最简单的回归模式为一元线性回归。例如土壤水分与冬小麦有效穗数的关系,用估计模式表示为=β0+β1x。x为1米层土壤水分(毫米),为估计有效穗数,β0为回归系数的估计数;表示除土壤水分外的其他因素平均值,为土壤水分增加一单位所增加的平均产量。根据估计的有效穗数,即可预测产量。应用较广的回归模式为多元回归模式,例如山西运城地区1983年所用冬小麦产量预测模式为:=0.301+4.27xt+0.5693x1+0.5167x2-1.4006x3。这里xt为趋势产量(表现为农业技术进步的趋势)。运城地区平均每年增长4.27千克。x1为1982年8至11月降水量。在其他因素不变情况下,x1的系数0.5693说明这个时期降雨量增加一个单位所增加的小麦产量(x2、x3回归系数说明理由与x1的相同);x2为上年12月至1983年5月中旬降水量x3为5月下旬降水量。这个模式是先估计历年趋势产量,再把气候因素加到模式中去以估计农作物产量,这符合华北地区“麦收八十三场雨”(农历八月、十月、三月)的农谚。在执行某项重大经济政策时,对产量会产生大的影响这时就应加入政策方面的变量,在统计上一般用虚拟变量0~1表示。运用多元回归的一个重要问题在于选择因素,在模式中因素多固然好,但用上的因素总是有限的。因为有些因素是并不知道或者不能评价的。同时,因素多了会发生多重共线。因此,有个选择因素问题。选择的方法很多,一个较好的方法是逐步回归法。回归模式除多元回归外,还有多项式回归(一元与多元)。例如雨量、温度(二元)联合对玉米产量影响,可作出下列模式:。这里T为月平均温度,R为月降雨量,以及为估计回归系数,亦称“估计参数”。

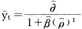
以上所有模式的参数为线性的。参数为非线性的模式如逻辑斯谛模式:

农作物产量预测方法

这个模式适用于作物从播种到结实整个生长过程预测。例如上式的表示玉米在t时(天)的每穗籽粒干重,t为某一物候期(例如玉米吐须期)的长短天数。三个估计参数的作用可用生长的不同状态加以说明:①t=0时的重量,即始重。t=0,不论为何值,,则估计的始量为:。②成熟期重量。假设0<,得出估计收获量为。即当t很大时,yt取决于,所以参数α称为“基本参数”。本例为成熟期预测的玉米每穗籽粒干重。③当t增大时,表示到ym的增长速度,在内(逻辑斯谛性质,可称为“增长参数”。如果接近零,则增长很快;如果接近1,则按递增率增长,其比率为表明的变化范围,也表明的含义,且。至于估计上述非线性参数的方法,与以上所列举的线性参数的方法不同,需要先对样本资料(y1、t1),(y2、t2),……(yn、tn)所使用的模式进行对数处理,但也带来误差。为了得到近似解,一般用递代法,也可用其他特殊方法,如费雪法。上述模式就性质说可分为农学模式与气象模式。在集约化地区,水利、资金条件较好,有防止不利气候的能力,一般以农学模式为主,条件较差的地区则以气象模式为主。