登录| 注册    
收藏  点赞 

机组作业能量消耗

机组完成单位作业量或在单位作业时间内所消耗的能量。研究机组作业能量消耗的主要目的,在于提高机组作业的能量利用效率。其计算值可为机组编组、农机选型、农机配备、农机更新以及作业定额制定等提供依据。田间作业机组的能量消耗有两种表示形式:一是单位作业面积上的能量消耗,可根据作业机具单位幅宽的阻力k(牛/米)进行计算;二是单位时间内的能量投放

机组完成单位作业量或在单位作业时间内所消耗的能量。研究机组作业能量消耗的主要目的,在于提高机组作业的能量利用效率。其计算值可为机组编组、农机选型农机配备、农机更新以及作业定额制定等提供依据。

田间作业机组的能量消耗有两种表示形式:一是单位作业面积上的能量消耗,可根据作业机具单位幅宽的阻力k(牛/米)进行计算;二是单位时间内的能量投放,可根据拖拉机的牵引功率NT或有效功率Ne(千瓦)进行计算。计算方法有以下几种:①机组在负荷作业行程条件下,即不考虑机组空行和发动机空转时的能量消耗。单位作业面积上直接消耗于机具阻力的能量(即有用功)为:

机组作业能量消耗

如将拖拉机在作业时消耗于传动系统、行走部分和打滑等的能量计算在内,机组在单位面积上的实际总能量消耗为:

机组作业能量消耗

式中 β为机具幅宽利用率;ηT拖拉机牵引效率。②机组负荷作业行程和空行程条件下,单位面积上直接消耗于机具阻力的能量和实际总能量消耗分别为:

机组作业能量消耗

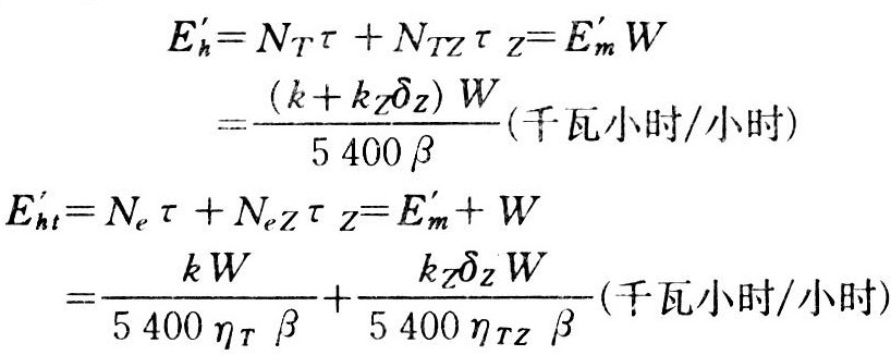
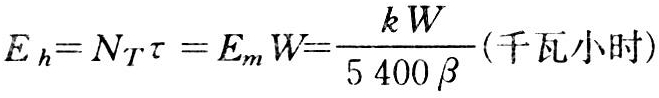
式中 δZ为机组空行程与负荷作业行程之比值;kZ、ηTZ分别为空行程时机具的单位幅宽阻力和拖拉机牵引效率。③机组负荷作业行程条件下,单位时间内投放给作业机具的能量(有用功)为:

机组作业能量消耗

如将拖拉机在作业时消耗的无用功计算在内,则机组在单位时间内实际投放的能量为:

机组作业能量消耗

式中 τ为机组工作时间利用率;W为机组在单位时间内的作业量(亩/小时)。④机组负荷行程和空行程条件下,单位时间内投放给作业机具的能量和实际投放的总能量分别为:

机组作业能量消耗

式中 NTZ和NeZ分别为空行程时拖拉机的牵引功率和有效功率;τZ为空行程时的机组工作时间利用率。

机组作业的能量利用效率,有平均和瞬时两种表示法:①用机组负荷作业行程下消耗在单位面积上的有用功与考虑空行程在内的总耗能量之比(Em/E′mt)表示,称为机组的平均能量效率;②机组负荷作业行程下在单位时间内投放的有用功与投放总能量之比(Eh/Eht),称为机组的瞬时能量效率。为了提高机组作业的生产率,降低作业成本,不仅要提高机组的瞬时能量效率,还要注意提高机组的平均能量效率。

在各种生产条件下,应用测功器等仪器,对各种机组作业能耗进行实测,是研究机组作业能量消耗的主要方法。