登录| 注册    
收藏  点赞 

离心喷头(centrifugal nozzle) 利用旋转

部件的动能使液体分散成雾流的装置。用于离心喷雾机和航空植保设备。20世纪50年代有些国家开始在卫生防疫器械上采用离心喷头。70年代以后,离心喷头较广泛地用于农业、林业病虫害防治器械。 离心喷头按结构型式可分为转盘式、转笼式、转杯式和转刷式等。喷头的旋转,采用风轮驱动,亦有用电机或液压马达驱动。风轮驱动的转盘式离心喷头工作原理如图1所示。

部件的动能使液体分散成雾流的装置。用于离心喷雾机航空植保设备。20世纪50年代有些国家开始在卫生防疫器械上采用离心喷头。70年代以后,离心喷头较广泛地用于农业、林业病虫害防治器械。

离心喷头按结构型式可分为转盘式、转笼式、转杯式和转刷式等。喷头的旋转,采用风轮驱动,亦有用电机或液压马达驱动。

风轮驱动的转盘式离心喷头工作原理如图1所示。转盘可分为单层、双层及多层结构型式,为了使雾滴大小分布均匀,一般转盘边缘带有尖齿和小槽。转笼式离心喷头工作原理如图2所示。转盘式离心喷头和转笼式离心喷头的工作原理基本相似。当药液通过空心轴的出液孔流向转盘的表面时,转盘(转笼)高速旋转的离心作用,使药液从转盘(转笼)的边缘上甩出,形成微小的雾滴。

图1 转盘式离心喷头工作原理示意图

图2 转笼式离心喷头工作原理示意图

飞机上用的喷雾头,多是用金属丝网制成的转笼式离心喷头,转笼的后面有风轮。飞行时,在气流的作用下带动转笼高速旋转,药液通过空心轴进入喷头,在离心力作用下通过丝网喷出。

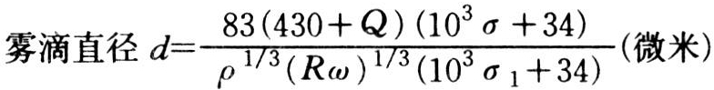
离心式喷头所形成的雾滴大小范围较窄,雾滴粒度的均匀性较好,雾滴的体积中值直径为20~100微米。雾滴可以随风漂移并附着在植物的表面,附着性好,分布均匀。与其他液力喷头比较,不仅雾滴较细,而且节水省药。但受风力的影响较大,喷洒要求较为严格,在适用范围上有一定的局限性。其雾滴大小与转盘(转笼)转速、药液粘度、药液表面张力、转盘(转笼)直径、药液比重、流量以及转盘的结构形式等的关系可用下式表述:

离心喷头

式中 Q为一个转盘上的液体流量(千克/小时);ρ为液体密度(千克/米3);ω为转盘旋转角速度(弧度/秒);σ为雾化液体表面张力(牛/米);σ1为水的表面张力(牛);R为转盘半径(米)。