登录| 注册    
收藏  点赞 

农业机器更新

农业机器的使用单位或个人,为获得最佳的经济效益,适时地以新机器取代旧机器的措施。

农业机器的使用单位或个人,为获得最佳的经济效益,适时地以新机器取代旧机器的措施。

更新原因

农业机器当出现下述情况之一时即需要更新:①机器损坏到无法修理,或修理费用超过购置新机器的费用时;②由于机械化作业范围的扩大,原有机器的生产率不能适应;③由于新的农业技术或工程技术的出现,旧机器技术性能不适应;④出现了在性能上非常优异的新机器;⑤由于旧机器在使用过程中产生的有形和无形损耗,使原有的性能指标显著下降,维修费用增加,继续使用在经济上不合算。

更新原则

农业机器的更新应遵循:①有利于农业企业综合生产能力的提高;②新机器的技术性能,包括生产率、可靠性、安全性、操纵性、维修方便性等方面,要达到或超过原有机器的性能;③既要有利于提高经济效益,减少能源、物料等消耗,又要考虑改善环境、安全和劳动条件等社会效果。

更新方法

可分为两类:一类是以同一型号或结构相同的新机器取代旧机器,即“原型更新”;一类是以结构和技术经济性能更加优异的新机器取代性能较差或技术上过时的旧机器,即“换代更新”。

最佳更新年限

确定农业机器更新的最佳年限,其关键是比较更新前后的经济效果。计算更新年限的方法概括为两大类:一类是静态分析法,它不考虑资金收支的时间因素;另一类是动态分析法,它要考虑资金收支的时间因素。

静态分析法

不考虑资金在时间推移过程中的增值(利息)或贬值。均以最小成本法作为农业机器更新最佳年限计算的依据。其特点是使机器设备的一次性投资和各年的经营费用的总和达到最小。

以最小成本法确定机器最佳更新年限

如图,在农业机器使用过程中,机器经营费用(维修费)不断增长,而机器折旧费逐年下降。二者费用之和构成总费用,其最小点A对应的点T即为最佳更新年限。常用的计算方法有:①账面价值统计计算法,即面值法。主要根据同类设备账面记载的价值数据。以所统计的折旧费及作业成本中算出平均使用成本,再将各年的平均使用成本加以比较,以其数值最低者确定为最佳更新年限。在农业机器工作的技术档案、成本记录完整不间断时,用面值法确定机器设备更新年限简单易行,准确可靠。②微分求极值法。对农业机器年度平均总费用的计算公式,用微分法求其数值为最小时的使用年限,即为最佳更新年限:

农业机器更新

式中 K0为机器原值;LT为使用T年后的残值,为简化计算可以不计;λ为年平均维修费递增值。此法所用历史数据较少,计算简便,不需要逐年计算平均使用成本。

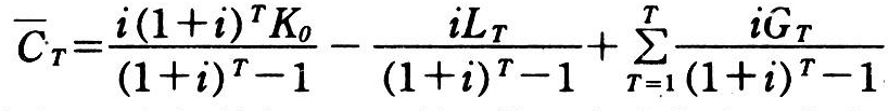
动态分析法

在计算最佳更新年限时,考虑了资金按年利率增涨的因素。较静态分析法更符合实际。其方法是按下式计算不同使用年限T的年平均使用成本从而得出最小年平均使用成本的使用年限,即为最佳更新年限。

农业机器更新

式中 i为年利率;GT为使用第T年的年度经营费。