登录| 注册    
收藏  点赞 

土壤机械性能测定仪器

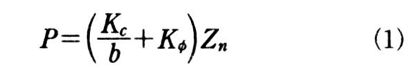
或工作部件时使用机载式承载仪,其工作时的反力由车辆承受。承载仪由三角架支承,一般用圆形或矩形测盘,测盘紧固在能作上下往复运动的杆轴上。将测盘慢慢压入土壤,所需压力P随下陷深度Z而变,所得P和Z曲线形状即代表土壤承载性能,也可用下式表示: 土壤机械性能测定仪器 式中 b为测盘半径或宽度;Kc,Kφ及n为土壤机械特性参数。每一测点至少需用形状相同、面积不同的三种测盘测定3次。

测定土壤机械性能及参数的仪器。土壤对在其上工作的农业机械所产生的机械作用是:①支承机器的重量;②对农机工作部件(如犁、铲、耙片等)形成耕作阻力;③自走式动力机械借此发挥出驱动力。这就需要对土壤进行垂直承载和水平剪切强度测定。

类型

进行现场测定的仪器主要有承载测定仪、圆锥测定仪和剪切仪等。

承载测定仪

有携带式和机载式两种。携带式承载测定仪适用于水田土壤,由两人操作。研究一般旱田或研究较大的行走机构或工作部件时使用机载式承载仪,其工作时的反力由车辆承受。承载仪由三角架支承,一般用圆形或矩形测盘,测盘紧固在能作上下往复运动的杆轴上。

将测盘慢慢压入土壤,所需压力P随下陷深度Z而变,所得P和Z曲线形状即代表土壤承载性能,也可用下式表示:

土壤机械性能测定仪器

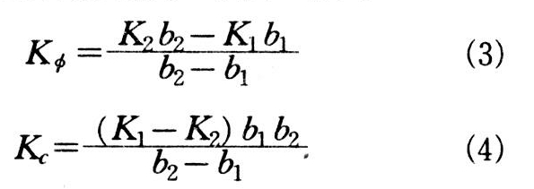
式中 b为测盘半径或宽度;Kc,Kφ及n为土壤机械特性参数。每一测点至少需用形状相同、面积不同的三种测盘测定3次。然后任取两次值用下述方法确定Kc、Kφ和n值。

将方程(1)绘于双对数坐标纸上,得到两条平行并与Z轴成α角的直线(图1)。显然

土壤机械性能测定仪器

直线在P轴上的截线分别为K1及K2,则

土壤机械性能测定仪器

式中 b1及b2分别为两次所用测盘半径或宽度。Kc、Kφ和n值可计算而得,也可用绘图法求得。

图1 压力—沉陷曲线

圆锥仪

图2(a)是最简单的圆锥仪,由刻度杆轴、圆锥测头、压力指示器和手柄构成。仪器的压入深度和压力值可直接读取。图2(b)所示圆锥仪可自动记录压入深度和压力。圆锥测头在美、苏、日本等国均已列入国家标准。中国制订的农机用测头标准(NJ168—78)规定了测头锥角为30°,锥底面积3平方厘米。

圆锥测头慢慢压入土中所需的力与锥底面积的比值,称为圆锥指数(CI),又称土壤坚实度。圆锥指数随压入深度、压入速率即载荷方式(冲击式或静载式)而变化。最佳压入速度为3厘米/秒。

图2 圆锥仪(静载式)

土壤的圆锥指数直接与农机工作部件性能(如犁的牵引阻力)相联系。圆锥指数与车辆(拖拉机、自走式收获机等)性能的关系较复杂,不仅需考虑车辆的可通过性,而且还需考虑车辆的重复通过能力。土壤经过机器重复作用(重塑)后强度变弱,因此需要用重塑指数(RI)来表示这种性质。重塑指数乘以现场圆锥指数之积为额定圆锥指数(RCI):即RCI=RI×CI。这一指数表明车辆持续行驶地点的土壤承载能力。

土壤剪切仪

有轻便水田式(图3)和机载旱田式两种。主要部件有可作上下往复并绕其中心轴线旋转运动的杆轴,与杆轴滑动配合并能一齐旋转的剪切环。一般剪切环内径为6~20厘米,外径为12~30厘米。剪切环上带有6个以上的剪切片,剪切片高度h为0.3~2厘米。

图3 土壤轻便剪切仪

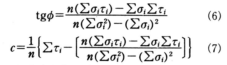
测试时,将剪切环完全压入土中,在杆轴上加一不变的垂直力P后,再施加扭矩M使其慢慢旋转,从扭矩M算出剪切应力后,即可得出剪应力与剪切环旋转位移之曲线。增加垂直压力P后试验,仍可得类似的曲线。每点需在至少5种不同的P值下进行试验,最后得出τp与σ近似直线。其方程式为:

土壤机械性能测定仪器

式中 τ为剪应力;σ为正应力,由总垂直压力除以剪切环面积而得。内聚力c和摩擦角φ用下式计算:

土壤机械性能测定仪器

式中 n为试验次数。

应用

用上述三种仪器进行田间土壤测试后,推导的参数及其用途见下表。

从土壤机械性能测试推导的参数及用途

从土壤机械性能测试推导的参数及用途(续)-1