登录| 注册    
收藏  点赞 

拖拉机时间利用率

在某一作业班次内,拖拉机机组纯作业时间与班次总时间的比值。分析拖拉机时间利用率的目的在于尽可能地减少非工作时间,提高时间利用率,并为改进机器的设计、制造质量,合理区划田块等工作提供科学依据,优质、高效地适时完成各项作业。提高时间利用率的措施主要是压缩非生产性时间。农业生产中,通常规定一个班次的时间为10小时

在某一作业班次内,拖拉机机组纯作业时间与班次总时间的比值。分析拖拉机时间利用率的目的在于尽可能地减少非工作时间,提高时间利用率,并为改进机器的设计、制造质量,合理区划田块等工作提供科学依据,优质、高效地适时完成各项作业。提高时间利用率的措施主要是压缩非生产性时间。

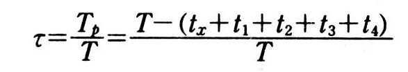
农业生产中,通常规定一个班次的时间为10小时,一昼夜为两个班次。班次内的时间利用率为:

拖拉机时间利用率

式中 T为班次总时间;Tp为纯作业时间;tx为在地头空行转弯消耗时间;t1为工艺性停车时间;t2为准备工作、技术保养和路途运行时间;t3为故障停车时间;t4为因组织不善而停车时间。

tx、t1、t2均属正常的非生产性时间消耗,其长短与多种因素有关。tx取决于空行路程长度和空行速度,它与作业种类、田块大小、机组组成及所采用的行走方法等有关。因此应合理地区划田块,选择适宜的行走方法和转弯形式并正确地调度机组。t1与机组工作幅宽、工作速度、亩播量或收获量、种箱或粮箱的容积等因素有关。要适当加大粮箱、种箱容量,提高装卸机构的工作能力,采用行走卸粮,合理组织上种等工作。t2的多少与保养项目及操作人员技术水平有关。采用双班保养,分工负责,缩短保养时间,提高保养质量。t3与t4均属非正常时间消耗,与机器的设计、制造、使用、修理及组织管理等因素有关。要做好日常保养维修、组织服务等工作,力求消除或减少这部分时间消耗。