登录| 注册    
收藏  点赞 

拖拉机完好率

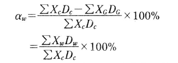
反映拖拉机机械技术状态完好程度的指标。以技术状态完好的拖拉机台日或台班数与在册总台日或台班数的百分比表示。用以评价机器总体的技术状态、技术维护质量及总体在作业前的准备程度。主要用于拖拉机机群。拖拉机完好率的计算公式为: 拖拉机完好率 式中 Xc、XG、Xw分别为在册的、故障修理的、状态完好的拖拉机台数;Dc、DG、Dw分别为拖拉机在册的、故障修理的、状态完好的日或班数。

反映拖拉机机械技术状态完好程度的指标。以技术状态完好的拖拉机台日或台班数与在册总台日或台班数的百分比表示。用以评价机器总体的技术状态、技术维护质量及总体在作业前的准备程度。主要用于拖拉机机群。

拖拉机完好率的计算公式为:

拖拉机完好率

式中 Xc、XG、Xw分别为在册的、故障修理的、状态完好的拖拉机台数;Dc、DG、Dw分别为拖拉机在册的、故障修理的、状态完好的日或班数。状态完好的台日或台班数包括出勤的台日数、状态完好但未作业的台日数、状态完好但须按计划进行技术保养的停车台日数三类。在册台数是指企业单位在设备册上实有的台数。故障修理台日数包括故障停车台日数和待修、保养超过规定时间的台日数三类。计算时段可以是全年也可以是某一作业阶段。不同时期内的机器完好率是有变化的,在农业工作紧张时期应使此比值达到最大值。