登录| 注册    
收藏  点赞 

刨花板物理力学性能

与刨花板用途有密切关联的物理力学性能有密度、含水率、吸水厚度膨胀率、吸湿性、导热性能、吸音性能、静曲强度、平面抗拉强度、弹性模量、平行于板面的抗拉强度、抗压强度、抗剪强度、蠕变性能、抗疲劳性能等。刨花板物理性能主要有以下几个方面:密度0.50~0.85克/立方厘米(GB 4897—85)。按GB 4899—85、ISO 822—1975规定,测定密度的试样四边长度为100毫米的正方形。

刨花板用途有密切关联的物理力学性能有密度、含水率、吸水厚度膨胀率、吸湿性、导热性能、吸音性能、静曲强度、平面抗拉强度弹性模量、平行于板面的抗拉强度抗压强度抗剪强度、蠕变性能、抗疲劳性能等。

刨花板物理性能

主要有以下几个方面:

密度

0.50~0.85克/立方厘米(GB 4897—85)。按GB 4899—85、ISO 822—1975规定,测定密度的试样四边长度为100毫米的正方形。在相对湿度65±5%,温度20±2℃环境下处理至恒重,称量试件及测量试件厚度,按下式计算其密度ρ。

刨花板物理力学性能

式中 m为试件质量(克);V为试件体积(立方厘米)。

含水率

5.0~11.0%(GB 4897—85)。按GB 4898—85、ISO 823—1975规定,测定含水率试样最小面积为25平方厘米,称重后再在103±2℃条件下干燥至恒重。

刨花板物理力学性能

式中 M0为取样时试件的质量(克);M1为试件干燥后的质量(克)。

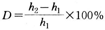
吸水厚度膨胀率

一级品≤6%,二级品≤10.0(GB 4897—85)。按GB 4878—85、GB 4901—85规定,测定的试件尺寸为25×25毫米,量测中心点厚度后,浸于20±3℃水中,使水面高于试件20毫米,2小时后,取出试件擦去表面附着水,在原测量点测其厚度,计算吸水厚度膨胀率D。

刨花板物理力学性能

式中 h1为浸水前试件的厚度(毫米);h2为浸水后试件的厚度(毫米)。

GB 4896~4905—85所规定的物理性能主要还有:①吸湿率及吸湿膨胀率。吸湿率15~17%,线性膨胀率0.3~0.5%,厚度膨胀率12~20%(20℃,Ф65~95%,28天,试件尺寸25×25毫米)。②导热性能。垂直于刨花板板面的导热系数0.08~0.12,一般为0.09千卡/米·时·℃。③吸音性能。普通刨花板(500~850千克/立方米)的吸音能力很弱,但与玻璃棉或泡沫塑料复合使用,具有良好声学性能。低密度刨花板(250~500千克/立方米)属吸音材料,作墙体厚50毫米时,频率范围25~250赫,吸音度αs=0.2;当频率范围为250~4000赫时,吸音度αs=0.5。

刨花板力学强度

主要有以下几个方面:

静曲强度

平压法 刨花板:一级品≥18.0兆帕;二级品≥15.0兆帕(GB 4897—85)。按GB 4895—85、GB 4903—85规定,测定静曲强度的试件尺寸长度为10×厚度+50毫米,但不小于200毫米,厚度50毫米。支座距离为试件公称厚度的10倍,但不小于150毫米。加荷时间30~90秒。静曲强度σ(兆帕)按下式计算:

刨花板物理力学性能

式中 P为试件的破坏压力(牛);L为支座距离(毫米);b为试件的宽度(毫米);h为试件的厚度(毫米)。

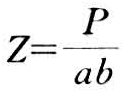
平面抗拉强度

一级品≥0.40兆帕,二级品≥0.30兆帕(GB 4897—85)。按GB 4895—85、GB 4902—85规定,测定平面

抗拉强度的试件尺寸50×50毫米。用聚醋酸乙烯乳胶或同等性能的胶合剂,将经砂磨后的试件和卡头胶粘在一起(见图),待胶固化后进行测试。加荷时间20~60秒,至试件破坏为止。平面抗拉强度Z(兆帕)按下式计算:

刨花板物理力学性能

式中 P为试件的破坏拉力(牛);a为试件的长度(毫米);b为试件的宽度(毫米)。

平面抗拉强度测试示意图

弹性模量

一级品2000兆帕(GB 4896~4905—85规定为抽测项目)。按GB 4898—85、GB 4903—85规定,试件尺寸及设置与静曲强度相同,可与测静曲强度同时进行。绘制压力—挠度曲线,求出曲线中直线的斜率值。各种刨花板因用途不同,弹性模量有很大差异:普通刨花板1200~2500兆帕,建筑用刨花板1800~4000兆帕,大片刨花板及华夫刨花板3500~4500兆帕,定向刨花板纵向5500~9000兆帕,横向2500~2000兆帕。

此外,尚有一些必测或抽测的主要力学性能在GB4896~4905—85中尚未规定,主要有:①平行于板面的抗拉强度为3.5~35兆帕;②平行于板面的抗压强度为10~28兆帕;③垂直于板面的抗压强度为9~14兆帕;④平行于板面的抗剪强度为7.5~10.0兆帕;⑤垂直于板面的抗剪强度为16.5~20.0兆帕;⑥表面剥离强度为8~15兆帕;⑦蠕变性能为用静曲破裂力的10~30%,加载4000小时后的挠度与跨度之比为1/100~1/300;⑧静疲劳抗弯强度为续载荷超过6个月后,相当于0.5~2分钟内试验获得的静曲强度的50~60%;⑨动疲劳抗弯强度为104~106载荷循环,4~10兆帕。