登录| 注册    
收藏  点赞 

抗扭强度

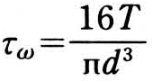
抵抗扭转破坏的应力。将柱形的木材旋转其长轴到一定的距离,所施加的切向力导致木材产生扭曲变形,即谓之扭转。扭转主要使木材截面产生剪应力,截面上剪应力形成的内力矩,称为扭矩。圆形截面的木材,在截面圆心处的剪应力为零,剪应力最大处在截面边沿。截面不是圆形的木材扭转时,其截面将不再保持平面,随之产生垂直于截面的正应力。测定圆形截面木材的抗扭强度(τw)

抵抗扭转破坏的应力。将柱形的木材旋转其长轴到一定的距离,所施加的切向力导致木材产生扭曲变形,即谓之扭转。扭转主要使木材截面产生剪应力,截面上剪应力形成的内力矩,称为扭矩。圆形截面的木材,在截面圆心处的剪应力为零,剪应力最大处在截面边沿。截面不是圆形的木材扭转时,其截面将不再保持平面,随之产生垂直于截面的正应力。测定圆形截面木材的抗扭强度(τw),按下式计算:

抗扭强度

式中 T为最大扭矩,d为木材截面的直径。对于木结构来说,木材的抗扭强度并不重要,仅仅是分析木梁趋于扭转时会涉及到。通常将木材用作回转轴、车轴以及某些机械所需的零部件时,其抗扭强度才作选材条件之一。水分对抗扭强度的影响,多少类似于其他的静力力学性质。