登录| 注册    
收藏  点赞 

木材干燥质量检验

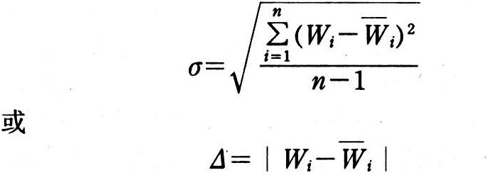
在105±2℃的恒温箱内烘至全干,再称全干重量G0,则试片终含水率为 木材干燥质量检验 平均终含水率为 木材干燥质量检验 图1 材堆中检验板分布 式中 i=1,2,3,……,n。锯材平均终含水率应符合表1中第二栏的规定。 图2 由检验板锯取三种试片L为含水率试验板长度 表1 含水率及应力质量指标 干燥均匀度用标准差σ或绝对偏差△表示。 木材干燥质量检验 绝对偏差△应不超过表1中第二栏规定范围。

为了评定锯材干燥质量等级与合格率,对窑干锯材进行的平均终含水率、干燥均匀

度、沿厚度的含水率偏差、干燥应力和可见干燥缺陷等

项目的测定及其统计分析。

平均终含水率

窑干前,在同批材料中选取含水率偏高的无疵木料作为检验板,按图1所示位置装入材堆中干燥,每堆放5块或9块。窑干后将检验板取出,按图2所示锯取终含水率、分层含水率和应力试片,依次编好号码。取含水率试片,用天平称其初重G,精确到0.01克,然后在105±2℃的恒温箱内烘至全干,再称全干重量G0,则试片终含水率为

木材干燥质量检验

平均终含水率为

木材干燥质量检验

图1 材堆中检验板分布

式中 i=1,2,3,……,n。锯材平均终含水率应符合表1中第二栏的规定。

图2 由检验板锯取三种试片L为含水率试验板长度

表1 含水率及应力质量指标

干燥均匀度

用标准差σ或绝对偏差△表示。

木材干燥质量检验

绝对偏差△应不超过表1中第二栏规定范围。

沿厚度的含水率偏差

将分层含水率试片按图3所示劈成3片(厚度s<50毫米)或5片(s≥50毫米),依次编好号码,然后按上述烘干法测定各小片含水率,便得知沿厚度的含水率分布。各检验板沿厚度的含水率分布的绝对偏差均不应超出表1中第四至第七栏的规定。

图3 分层含水率小试片的制取

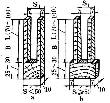
干燥应力

直接测定干燥应力б较复杂,对于质量检验,只分析梳齿形试片的梳齿变形率。即如图4所示将应力试片锯成梳齿状。a图用于S<50毫米,b图用于S≥50毫米。若锯材宽度B≥200毫米时,应力试片可按锯材宽度的一半(B/2)锯解,如图5,梳齿齿根取在板材宽度的边部,齿尖取在中部。

图4 梳齿状应力试件的制取

梳齿试片锯取后,在室温下气干24小时以上,或在70~100℃的烘箱中烘2~3小时,至含水率均匀后测量梳齿变形量S—S1,则应力指标为:.

木材干燥质量检验

式中 S为梳齿锯开前齿端外侧宽度;S1为含水率均衡后齿端外侧宽度;L为梳齿刚锯开时的齿长。

干燥应力指标Y的绝对值应符合表1中第八栏的规定。

可见干燥缺陷窑干前装堆时应检查木料有无开裂(表裂和劈裂)及弯曲(顺弯、横弯和翘弯)并作出标记。窑干后检查原有缺陷有无发展或新产生的干燥缺陷,包括开裂、弯曲、皱缩、炭化和变色等。各种可见缺陷指标应符合表2规定,其中劈裂和弯曲以占木料长度的百分率表示。

图5 宽板制取试验片

表2 可见干燥缺陷质量指标

中国国家标准GB 6491—86《锯材干燥质量》对窑干材规定4个等级:一级材要求基本保持锯材固有的力学强度,适用于仪器、模型、乐器、航空、纺织、精密机械制造、鞋楦、钟表等生产;二级材允许部分力学强度有所降低,适用于家具、建筑门窗、车辆、船舶、农业机械、军工、文体用品等生产;三级材允许力学强度有一定程度的降低,适用于室外建筑用料、包装箱等生产;四级材指气干或窑干至运输含水率(20%)的锯材,完全保持锯材的力学强度和天然色泽,适用于远道运送锯材、出口锯材等。

根据要求的干燥质量等级,窑干合格率应不低于95%(或降等率不高于5%)。