登录| 注册    
收藏  点赞 

韧性

木材吸收能量,抵抗反复冲击或瞬时超过比例极限的荷载的能力。通常韧性还表示木材的难于劈开,或在严重破坏后不立即断裂的性质。如木材用以作为运动器械、枪托、船桨、工具柄、坑木、纺织木梭、枕木以及木结构中的梁等,都要求有较好的韧性。韧性的反义词即脆性。木材韧性的测定,一般采用冲击弯曲试验,常见的有摆锤式冲击试验和落锤式连续冲击试验两种方法。

木材吸收能量,抵抗反复冲击或瞬时超过比例极限的荷载的能力。通常韧性还表示木材的难于劈开,或在严重破坏后不立即断裂的性质。如木材用以作为运动器械、枪托、船桨、工具柄、坑木、纺织木梭、枕木以及木结构中的梁等,都要求有较好的韧性。韧性的反义词即脆性。

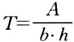
木材韧性的测定,一般采用冲击弯曲试验,常见的有摆锤式冲击试验和落锤式连续冲击试验两种方法。①摆锤式冲击试验:试验试样为2×2×30厘米,试样放置在试机两支点上,跨距为24厘米,当摆锤下落施加冲击荷载于试样的中部使之折断,试机上的读数即为使试样破坏所做的功,也就是试样所吸取的能量(A),按下式计算出试样的冲击韧性值(T):

韧性

式中 b和h分别为试样的宽度和高度;韧性值T的大小,即表示该试样韧性的高低。②落锤式连续冲击试验:用落锤式连续冲击机以一定重量的锤,在不断增加其下落的高度连续冲击试样,至试样被折断为止,就锤的最后高度测定试样吸收的能量。表示韧性的大小是比较值,因测试方法而异。

密度大的木材,一般韧性也较高,但两者的关系通常并不密切。高温常使木材变脆,韧性降低,降低的程度取决于温度的高低和作用时间的长短。木材干燥的温度较低,对韧性的影响就很小。木材含水率对韧性的影响较小。斜纹理对木材的韧性影响很显著,很多研究结果说明,尽管试验方法和降低韧性值上有所不同,但斜纹理降低木材的韧性大于对抗弯和抗压强度影响。腐朽使木材韧性降低,即使是在腐朽初期,木材的其他强度性质尚未表现出明显的损失时,木材的韧性也将呈现出一定程度的削弱。所以检验韧性是判断初腐最简便的方法。