登录| 注册    
收藏  点赞 

蜂花粉质量标准

衡量蜂花粉质量的依据。世界上大多数国家还没有制定有关花粉的质量标准。有些国家的个别企业或专家提出蜂花粉的卫生标准是每克花粉所含菌体数不得超过15万个,所含真菌菌落不得超过100个,不得有任何致病菌;所含杂质(泥土、昆虫残体等)不得超过5%;蜂花粉中蛋白质的含量在7~30%之间,含量为20%被认为是比较好的平均数。蜂花粉中含有多种维生素,新鲜蜂花粉中维生素C的含量约在7~9毫克/100克。

衡量蜂花粉质量的依据。世界上大多数国家还没有制定有关花粉的质量标准。有些国家的个别企业或专家提出蜂花粉的卫生标准是每克花粉所含菌体数不得超过15万个,所含真菌菌落不得超过100个,不得有任何致病菌;所含杂质(泥土、昆虫残体等)不得超过5%;蜂花粉中蛋白质的含量在7~30%之间,含量为20%被认为是比较好的平均数。蜂花粉中含有多种维生素,新鲜蜂花粉中维生素C的含量约在7~9毫克/100克。蜂花粉的贮存是一项影响其营养成分的关键技术措施。常温保存1年,其维生素C的含量降低30~50%。

中国根据蜂花粉产销情况并参照有关资料提出的《中华人民共和国国家标准GB/T11758—89,蜂花粉》,1989年12月经国家技术监督局批准为推荐国家标准。于1990年7月1日起实施。

国标规定蜂花粉分3个等级,分等质量指标见表。

检验方法分为感官检验和理化检验两个方面。

感官检验

用目测或放大镜观察、鼻嗅、口尝,根据花粉的颜色、状态、气味、滋味进行判断。

理化检验

包括8个方面:

杂质测定

收购时,目测无明显杂质,将手插入蜂花粉包装袋内,弯回手指慢慢从包内提出,指上无砂粒、细土,即表明较纯净。或精密称取蜂花粉样品约100克,放入搪瓷盘内,拣出杂质称定,用下列公式计算杂质:

蜂花粉分等质量指标

蜂花粉质量标准

单一花粉团率测定

或称计数法,即随机从蜂花粉包装内取出蜂花粉团数克,用手数出100粒,拣出其中本蜜源植物蜂花粉团粒。用下列公式计算:

蜂花粉质量标准

不易根据色泽区分蜂花粉团粒品种时,可用显微镜检验区别。

水分测定

或称烘箱干燥法,精密称取蜂花粉样品约10克,置于已干燥至恒重的培养皿或铝制浅盘中,样品厚度约为5毫米,放入电热鼓风干燥箱内,在105℃下干燥2~4小时后取出,置于干燥器中,冷却至室温后称重,在同一温度下重复干燥1小时左右,直至恒重(两次重量差不超过2毫克)。按下列公式计算:

蜂花粉质量标准

式中 A为培养皿重量(克),B为样品与培养皿重量(克),C为B达到恒重时的重量(克)。平行试验结果允许误差为±0.4%。

碎团粒测定

称取蜂花粉样品约50克,用20目分样筛筛出碎粒及粉末并称重。用下列公式计算:

蜂花粉质量标准

蛋白质测定

采用凯氏定氮法,平行实验结果允许误差为±0.6%。

维生素C测定

采用2,6-二氯酚靛酚钠盐滴定法:平行试验结果的允许误差为0.3毫克/100克。

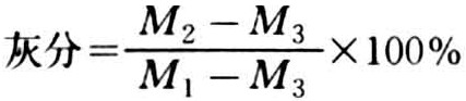
灰分测定

精密称取蜂花粉样品约10克,放入已恒重的坩埚中,在105℃烘箱中干燥至近恒重,,在300℃下灼烧至完全炭化,移入高温炉中,在600℃灼烧至完全灰化,冷却至200℃以下后放入干燥器内,冷却至室温精密称重,直至恒重,用下列公式计算结果:

蜂花粉质量标准

式中 M1为坩埚和样品的重量(克);M2为坩埚和灰分的重量(克);M3为灼烧至恒重的坩埚重量(克)。