登录| 注册    
收藏  点赞 

成烟率

农药烟剂的质量指标之一,以烟剂燃烧时农药有效成分在烟雾中的含量与燃烧前烟剂中农药有效成分含量的百分比表示。烟剂在燃烧发烟过程中,其有效成分受热力作用,只有挥发或升华成烟的部分才有防治效果,其余受热分解或残留在渣中。烟剂有效成分成烟率要求大于80%,蚊香有效成分成烟率要求大于60%。不同农药在同一温度下,或同一农药在不同温度下,其成烟率是不同的,而温度则取决于农药配方。

农药烟剂的质量指标之一,以烟剂燃烧时农药有效成分在烟雾中的含量与燃烧前烟剂中农药有效成分含量的百分比表示。烟剂在燃烧发烟过程中,其有效成分受热力作用,只有挥发或升华成烟的部分才有防治效果,其余受热分解或残留在渣中。烟剂有效成分成烟率要求大于80%,蚊香有效成分成烟率要求大于60%。不同农药在同一温度下,或同一农药在不同温度下,其成烟率是不同的,而温度则取决于农药配方。应选择成烟率高的农药配方加工成烟剂。

在不同温度下,烟剂成烟率的测定可采用农药成烟及有效成分吸收装置(见图)。其原理是:用吸收液

烟剂成烟及烟中有效成分收集装置图(据《农药》,1988)

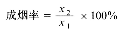
充分吸收燃烧后烟中的农药有效成分,测出吸收液中有效成分的含量,与燃烧前烟剂中的有效成分含量比较,即可求出成烟率:

成烟率

式中X1为试样燃烧前有效成分含量;X2为试样燃烧后烟雾中有效成分含量。

吸收液应选择对烟剂中有效成分溶解度大、挥发性小而又不影响下一步测定的有机溶剂。吸收液中有效成分的测定方法也因农药品种而异。目前较多采用气相色谱法(GLC),高效液相色谱法(HPLC)。