登录| 注册    
收藏  点赞 

除虫菊素

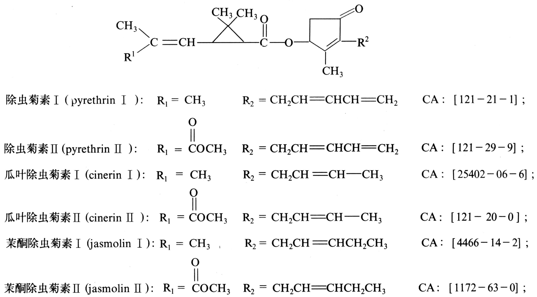
天然产物中已判明具有杀虫活性的有效成分有六种。化学结构式通式: 除虫菊素 除虫菊干花中含除虫菊素0.9~1.3%,提取物中含除虫菊素50~60%(其中除虫菊素Ⅰ和Ⅱ70%左右,瓜叶除虫菊素Ⅰ和Ⅱ20%左右,茉酮除虫菊素Ⅰ和Ⅱ不到10%)。从分子结构看,其每一种具有杀虫活性的有效成分均具有不同的立体异构体和光学异构体,天然产物中的有效成分主要是右旋反式菊酸和右旋顺式醇酮组成的酯(见)。

一种抑制神经组织,源于除虫菊的触杀性植物源杀虫剂。存在于菊科(Compositae)菊属(Chrysanthemum)除虫菊亚属(Pyrethrum)的若干种植物的花中,白花除虫菊(Pyrethrum cinerariaefolium)因所含杀虫有效成分较高,为唯一大规模栽培作杀虫剂用的品种。主要利用干花和提取物。商品名有除虫菊、Pyrenone、Pyrocide、Prentox、Pyronyl等。天然产物中已判明具有杀虫活性的有效成分有六种。化学结构式通式:

除虫菊素

除虫菊干花中含除虫菊素0.9~1.3%,提取物中含除虫菊素50~60%(其中除虫菊素Ⅰ和Ⅱ70%左右,瓜叶除虫菊素Ⅰ和Ⅱ20%左右,茉酮除虫菊素Ⅰ和Ⅱ不到10%)。从分子结构看,其每一种具有杀虫活性的有效成分均具有不同的立体异构体和光学异构体,天然产物中的有效成分主要是右旋反式菊酸和右旋顺式醇酮组成的酯(见)。

性能

提取物为黄色粘稠油状液体,除虫菊素Ⅰ沸点146~150℃/6.7×l0-2帕,除虫菊素Ⅱ沸点192~193℃/0.93帕,瓜叶除虫菊素Ⅰ沸点136~138℃/1.1帕,瓜叶除虫菊素Ⅱ沸点182~184℃/0.13帕,有旋光性。对光、热、酸、碱均不稳定,易分解,对空气中氧气也不稳定,加入抗氧剂可防止其氧化作用。不溶于水,易溶于多种有机溶剂。对高等动物低毒,对大鼠急性经口LD50为1500毫克/千克,急性经皮LD50大于1800毫克/千克,花的组分能引起皮炎,甚至特殊的过敏,在商品制备过程中可消除此影响。对鱼类等水生生物和蜜蜂有毒。杀虫活性较高,属神经毒剂,主要起触杀作用,各组分中以除虫菊素Ⅰ杀虫力最强,速效,有击倒作用,除虫菊素Ⅱ击倒力比除虫菊素Ⅰ强,无内吸作用。残效期短,杀虫谱广,对多种卫生害虫、贮粮害虫和农业害虫有效。

应用

除虫菊花可直接加工成粉剂,提取物可加工成喷射剂、气雾剂、乳油、蚊香等使用。由于对光、热等不稳定,不能用于防治农业害虫。主要用于防治卫生害虫,如蚊、蝇、蜚蠊、跳蚤、虱子、臭虫等,还可用于防治贮粮害虫,如米象、麦蛾、赤拟谷盗等。使用时加入增效剂,可提高药效、减少用药量。随着一些高效、稳定、安全的拟除虫菊酯杀虫剂的发展,其用量也已下降。