登录| 注册    
收藏  点赞 

粒剂

1954年出现了快速崩解型和缓慢释放型的颗粒剂。因此,在美国颗粒剂首先得到了普遍的应用,随后即在各国迅速推广。分类按颗粒大小分为大粒剂、颗粒剂、微粒剂,其标准如下: 粒剂 按使用对象可分为杀虫粒剂、杀菌粒剂、除草粒剂等;按加工方法分为包衣法粒剂、挤出成型法粒剂、吸附法粒剂等。组分粒剂由原药、载体和助剂等成分组成。原药粒剂的有效成分,有的是固体,有的是液体。

由原药、载体和助剂加工成的粒状农药剂型。它具有使用安全、方便等优点。①使高毒品种低毒化。克百威、甲拌磷等由于剧毒,不能喷雾而应用受限,但加工成颗粒剂后经皮毒性降低,则可直接手施。②可控制有效成分释放速度,延长持效期。如对硫磷颗粒剂防治玉米螟,只施一次药即可;甲拌磷颗粒剂防治高粱蚜较涂茎法安全、药效期长,每12垄撒施1垄,可保持整个夏季有效。③使液态药剂固态化。如杀虫双由25%水剂改制成颗粒剂后,便于包装、贮运和使用。④减少环境污染,减轻药害风险,避免伤害蜜蜂、蚕以及天敌昆虫。⑤使用方便,可提高劳动效率。

简史

1946年,霍斯托尔(W.R.Horstall)在防治稻田里孑孓的试验时,就应用了50%滴滴涕与氮肥的粒状混合物。1951年,范诺特(R.L.Vannote)在美国新泽西州灭蚊年会的报告中指出,颗粒剂能有效地穿透干燥的植被,在风力强度不适宜施用粉剂的条件下,可以用飞机来撒布颗粒杀虫剂。1954年出现了快速崩解型和缓慢释放型的颗粒剂。因此,在美国颗粒剂首先得到了普遍的应用,随后即在各国迅速推广。

分类

按颗粒大小分为大粒剂、颗粒剂、微粒剂,其标准如下:

粒剂

按使用对象可分为杀虫粒剂、杀菌粒剂、除草粒剂等;按加工方法分为包衣法粒剂、挤出成型法粒剂、吸附法粒剂等。

组分

粒剂由原药、载体和助剂等成分组成。

原药

粒剂的有效成分,有的是固体,有的是液体。原药在粒剂中含量一般在1~5%范围内,少数可达10%,个别的为高浓度粒剂。含量的高低是根据单位面积的使用量、有效成分的扩散能力及制造工艺确定的。

载体

承载原药的物质,无生物活性。载体的种类繁多(见)。各种载体性质各异,可用于制造不同类型的粒剂,例如多种矿土都有可塑性,并有一定的吸油率,可采用挤出法造粒;硅石、硅砂的主要成分为二氧化硅,没有油性,用它作载体,可采用包衣法造粒;沸石、珍珠岩、石、玉米棒芯等为多孔型粒状载体,可采用吸附法造粒。

辅助剂

粒剂中除载体、原药之外的其他配用物质。按其作用可分为:①粘结剂。是将原药及其他辅助剂粘覆在载体上的物质。它分为亲水型和疏水型两类。亲水型的有淀粉、可溶性淀粉、糊精、阿拉伯树胶、大豆蛋白、酪朊、骨胶和明胶等天然型物质,还有聚醋酸乙烯酯、聚乙烯醇等化学合成物质;疏水型的有松香、虫胶、石蜡、沥青、乙烯—醋酸乙烯共聚物及动植物油、重油、氧茚树酯、石油树酯等。②吸附剂。是将液体原药吸附在载体上,并使其产品流动性好的物质。一般吸附剂多用白炭黑、硅藻土、凹凸棒土等。也可用粉末状并有吸附能力的其他物质,如硅酸钙、碳酸钙、无水芒硝、微晶纤维素塑料和乙烯树酯粉末、矿物质和植物性物质的微粉末等。③崩解剂。能加速颗粒在水中崩解的物质,如硫铵、氯化钙、氯化镁、三氯化铝等各种无机盐。④润湿剂、分散剂。能使颗粒在水中崩解和分散均匀的物质,如木质素磺酸盐、烷基苯磺酸钠、烷基苯聚氧乙基醚等表面活性剂。⑤稳定剂。能稳定有效成分、控制贮藏期间分解的物质。如某些无机酸盐、有机酸、有机化合物等。不同药剂有其专用的稳定剂。⑥润滑剂。在挤出造粒时,能降低阻力、减少摩擦的物质,如润滑油或某些表面活性剂等。⑦着色剂。在农药粒剂中加入不同的警戒色,以区别和识别粒剂种类的物质。一般规定,杀虫剂为红色,除草剂为绿色,杀菌剂为蓝色。

加工方法

质量标准

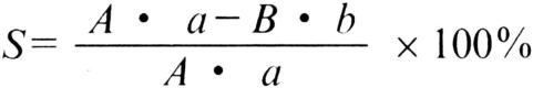
对农药粒剂质量,规定了7方面的标准和检验方法。①有效成分含量:称取一定量样品,经过物理处理后(萃取、分离等)按“国家标准”或“企业标准”方法进行分析;②粒度:测定方法为筛分法。按粒度规定标准上下限筛目数,选取两层筛,将一定量(A)样品放入上层筛,以每分钟150次速度拍打筛框,然后称量两层筛之间的颗粒重(B),B/A>90%为合格;③水分:一般采用共沸蒸馏法测定;④水中崩解性:颗粒在水中碎裂所需的时间;⑤pH值。⑥硬度:是挤出成型法颗粒的机械强度指标。一般规定颗粒完整率应≥85%,即破碎率≤15%;⑦脱落率:是测定包衣颗粒剂包衣牢度的指标。一般规定产品的脱落率≤5%,测定方法有气吹法和滚动法。气吹法是将一定量试样(WA)置入脱落装置中,通入空气流吹落一定时间后,将试样倒出再称重(WB),其试样的脱落百分数(S),即为脱落率:

粒剂

式中 a为脱落前试样有效成分含量;b为脱落后试样有效成分含量。滚动法,是将一定量(A)预先筛过的试样,装入滚动测定器的滚筒内,以75转/分速度转动15分钟后,倒入试样再用原筛子筛10分钟,称筛上粒剂重量(B),其试样脱落的百分数(S)即为脱落率。

粒剂

式中 a为脱落前试样有效成分含量,b为脱落后试验有效成分含量。