登录| 注册    
收藏  点赞 

悬浮率

可湿性粉剂、悬浮剂、剂、水分散性粒剂(water dispersible granule)、微囊剂等农药剂型质量指标之一。将其用水稀释成悬浮液,在特定温度下静置一定时间后,以仍处于悬浮状态的有效成分的量占原样品中有效成分量的百分率表示。悬浮率高,有效成分粒子可在较长的时间内处于悬浮状态,使药剂浓度在喷洒过程中前后保持一致,均匀覆盖靶标,较好地发挥药效。

可湿性粉剂、悬浮剂、剂、水分散性粒剂(water dispersible granule)、微囊剂等农药剂型质量指标之一。将其用水稀释成悬浮液,在特定温度下静置一定时间后,以仍处于悬浮状态的有效成分的量占原样品中有效成分量的百分率表示。悬浮率高,有效成分粒子可在较长的时间内处于悬浮状态,使药剂浓度在喷洒过程中前后保持一致,均匀覆盖靶标,较好地发挥药效。这类剂型的制剂的悬浮率暂定至少应在50%以上,高的可达90%。

影响因素

粒子在液体介质中受重力作用要向下沉降,沉降速度按斯托克定律(Stokes law)为:

悬浮率

式中 v为下降速度(厘米/秒);g为重力加速度(厘米/秒2);a为粒子半径(厘米);d1为固体原药粒子或液体原药吸附于填料中的粒子的密度(克/厘米3);d2为分散介质(农药测定时用水)的密度(克/厘米3);η为介质粘度系数(毫帕·秒)。对某一农药剂型来说,d1d2是固定的,v决定于η和a,但在上述剂型制剂的水悬浮液中η一般不会太大,因此影响粒子下降速度的主要因子是粒子的半径。半径越小,下降速度越慢,所以要提高悬浮率主要靠减小a,一般当a为2.5微米左右,悬浮率才能达到50%以上。

测定方法

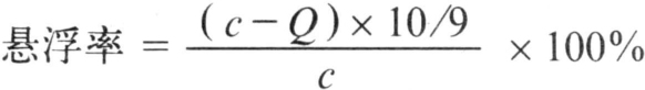
国际农药分析协作委员会(CIPAC)颁布的悬浮率测定方法(WHO及中国亦采用此法)是:称取一定量试样,用规定的标准硬水按一定倍数稀释,放入250毫升(中国用200毫升)带塞量筒中,将量筒颠倒30次,在30℃恒温水浴中,静置30分钟后,打开量筒盖,用吸管将筒内上部9/10的悬浮液抽出(见图),用与测定制剂有效成分相同的方法,测出留下的悬浮液及沉淀物中有效成分含量。按下式计算悬浮率:

悬浮率

测定悬浮率的量筒

悬浮率

式中 c为测定悬浮率时称取样品中有效成分的质量(克);a为样品中有效成分含量(%);b为测定悬浮率时称取样品的质量(克);Q为留下的悬浮液及沉淀物中有效成分的质量(克);10/9为校正系数,因为留下的1/10悬浮液及沉淀物,其中沉淀物所占容积较小,主要是悬浮液,此悬浮液中的有效成分粒子仍处于悬浮状态,为此须乘以校正系数。