登录| 注册    
收藏  点赞 

旋光度测定法

当平面偏振光通过不对称介质时,偏振面从其起始位置偏转了一个角度,这个角度即为旋光度,常用α表示。其大小与待测物质的种类、浓度、温度、液层厚度、光的波长以及所用的溶剂有关。为了便于互相比较,通常用比旋光度[α]tλ来表示各种光活性物质(包括光活性农药)的旋光方向和旋光能力的大小。在指定的条件下,某种光活性物质的比旋光度是一个常数。

通过测定光活性农药的旋光度,以求出其比旋光度和浓度的方法。

原理

光是一种电磁波,其振动方向与它前进的方向互相垂直。普通的光线在各个不同的平面上振动,当它通过起偏器(尼柯尔棱镜)时,就成为只在一个平面上振动的平面偏振光。平面偏振光在相位上可分解为两个圆偏振分量(),称为圆二色散(circle dichromatic,CD)现象(图1)。这两个分量互为镜像关系,沿着传播方向描出相反手性的螺旋形轨迹。左旋分量绕传播方向逆时针运动,右旋分量绕传播方向顺时针运动,二者频率(波长λ)相同。

图1 平面偏振光

在真空中,左旋和右旋圆偏振光的速度相等,均为:

v=c/n

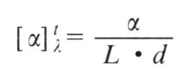
式中 c是真空中的光速,n是光线通过介质时的折射率。光活性物质对于左旋和右旋偏振光的折射率是不同的。在不对称介质中,圆偏振光波的速度相对于镜像波的速度发生改变。因此旋光是一个圆偏振分量相对于其镜像分量发生速度变化而引起的,旋光发生在分子一级上。当平面偏振光通过不对称介质时,偏振面从其起始位置偏转了一个角度,这个角度即为旋光度,常用α表示。其大小与待测物质的种类、浓度、温度、液层厚度、光的波长以及所用的溶剂有关。为了便于互相比较,通常用比旋光度[α]tλ来表示各种光活性物质(包括光活性农药)的旋光方向和旋光能力的大小。在指定的条件下,某种光活性物质的比旋光度是一个常数。纯净液体的比旋光度用下式求得:

旋光度测定法

因此比旋光度[α]tλ是在液层厚度L为1分米,密度为d(克/厘米3)、温度为t,波长为λ时所测得的旋光度。在溶液情况下,式中d应改为浓度c(克/升)。

测定

旋光度可用旋光仪和圆二色散仪两种方法测定。

旋光仪测定法

利用旋光仪在波长为589.3纳米的钠黄光下,测定光活性物质旋光度的方法。

旋光仪主要由光源、起偏镜(器)、检偏镜(器)和旋光管组成(图2)。

图2 旋光仪装置简图

起偏镜和检偏镜都是由尼柯尔棱镜制成的。起偏镜固定不能旋转,检偏镜可以旋转,旋转的角度可以从刻度盘读出。近代的旋光仪应用光电池和数字显示代替刻度盘。其操作主要是称取一定量的样品,配成溶液,注入旋光管中进行测定。旋转检偏镜,使最大量的光线能够通过,然后放入旋光管。通过旋光管出来的平面偏振光被旋转了一定的角度。这时检偏镜需要旋转相同的角度才能使最大量的光线通过。旋转的角度为旋光度α,可以从仪器上读出。由于旋光管的长度L,以及光活性物质的密度d或浓度c也都是已知的,因此可以按上述公式计算出比旋光度[α]tλ。如果检偏镜向右旋转,为右旋物质,用符号(+)或d表示;使检偏镜向左旋,为左旋物质,用符号(-)或l表示。

当某种光活性物质的比旋光度为已知时,可以用旋光仪在相同的条件下测定其溶液的旋光度,然后应用上述公式计算出它的浓度。根据测得的比旋光度还可以计算光活性化合物的光学纯度。

圆二色散仪测定法

利用圆二色散仪测出化合物对不同波长光的圆二色散谱,以求得旋光度的方法。圆二色散谱是一种连续吸收光谱,其波长范围常选择在200~700纳米,从图谱上可得到不同波长下的旋光度值。它与化合物的紫外、红外、核磁共振光谱原理相同,也是电磁波与有机化合物分子相互作用的结果,但它反映化合物结构上的不同要比紫外、红外灵敏得多。因此可获得更多、更准确的化合物结构、构象、构型方面的信息。例如下述顺式和反式对映体结构上的细微不同也能得到反映,而用旋光仪或其他方法是不能得到的。(图3)

图3 顺式和反式-10-甲基-2-萘烷酮的圆二色散谱

圆二色散光谱用圆二色散仪来测定。仪器简单框图如图4所示。从起偏器出来的平面偏振光,经晶体后,调制成一定频率(波长范围200~700纳米)的圆偏振光,通过样品后,在电子记录元件上即可得圆二色散谱。

图4 圆二色散仪装置方框图