登录| 注册    
收藏  点赞 

熏蒸毒力测定

使药剂以气态经呼吸系统进入虫体,在作用部位产生毒力反应,以测定熏蒸毒力的杀虫剂生物测定。简史1917年穆尔(W.Moore)首先进行了多种苯的衍生物对家蝇的熏蒸毒力大小的测定。1930年斯特兰德(A.L.Strand)设计出用于熏蒸毒力测定的熏蒸瓶。1937年谢泼德(H.H.Shepard)等提出用致死中浓度和致死95%浓度来比较熏蒸剂的毒力;理查森和布斯拜(H.H.

使药剂以气态经呼吸系统进入虫体,在作用部位产生毒力反应,以测定熏蒸毒力的杀虫剂生物测定。

简史

1917年穆尔(W.Moore)首先进行了多种苯的衍生物对家蝇的熏蒸毒力大小的测定。1930年斯特兰德(A.L.Strand)设计出用于熏蒸毒力测定的熏蒸瓶。1937年谢泼德(H.H.Shepard)等提出用致死中浓度和致死95%浓度来比较熏蒸剂的毒力;理查森和布斯拜(H.H.Richardson和R.L.Busbey)设计出流动气体熏蒸装置。1955年蒙罗和巴克兰德(H.A.Monro和C.T.Buckland)设计出大型熏蒸箱或熏蒸柜。1965年奎雷希(A.H.Qu reshi)等在熏蒸毒力测定上配合使用气相色谱分析装置。

特点

对熏蒸剂或挥发性强的药剂进行毒力测定应具以下特点:①需要能保持气态药剂浓度稳定的密闭空间;②药剂气体在空间的分布必须要均匀(重于空气的药剂气体,须经搅动混匀),以使供试生物对象接受到相同的药量;③对环境温湿度要求严格。熏蒸剂的毒杀作用,分物理窒息与抑制呼吸酶两种,均与其穿透入气孔的能力有关,也即与气体分子的活动能力及物质的吸收性有关。二者均受温湿度的影响:温度影响活动,湿度影响吸收等;④熏蒸剂毒力测定与实际防治有一定距离,熏蒸剂常用来透入一般杀虫药剂进不去的隐蔽处,但毒力测定中只考虑气体的毒性,而不考虑其穿透性、密闭情况和物质对气体的吸收性等。毒性高而穿透性不强的气体,应用于防治有其局限性。

影响因子

包括药剂理化性质、环境因子和给药方法三方面。

药剂理化性质

有下述五个因素影响熏蒸效果。

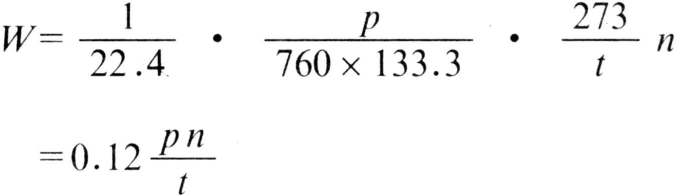
蒸气压与饱和浓度

药剂本身的挥发性是直接影响熏蒸效果的。当在一个局限的空间中,一种挥发性物质以蒸气相存在于空间的量决定于蒸气压、分子量与温度:

熏蒸毒力测定

式中 W为蒸气重量(毫克);P为蒸气压(帕);t为温度(℃);n为蒸气物质的量(摩)。

对于两种挥发性物质的混合物,在一个局限空间中的蒸气饱和浓度,决定于这两种挥发性物质是否能完全混合。

蒸发潜热

由于液体挥发时要吸收热量、挥发物本身温度会不断F降,为促进药剂挥发,需要用适当的方法加热。

扩散和隙透扩散是指一种气体通过分子运动进入到另一种气体中间,而隙透是指一种气体通过分子运动进入到另一种固体的孔隙。在开阔的空间,较重的气体比较轻的气体扩散慢,孔隙越小,隙透也越困难。提高熏蒸温度、加速分子运动可以增加隙透率。

相对密度和分布

比空气重的熏蒸剂气体进入一个充满空气的室内,它将沉到空气下层。两层间气体混合速度慢,须加用风扇或鼓风机搅动以加快熏蒸气体在空气中的均匀分布。

环境因子

环境温度、吸着作用和CO2,可影响熏蒸效果。①温度:除了影响熏蒸剂的挥发外,也影响昆虫的活动,在正常熏蒸温度10~35℃范围内,昆虫随温度上升而加快呼吸速度,因此一般随温度上升而增加熏蒸毒效。②吸着作用:包括物理吸着和化学吸着两方面。物理吸着作用是可逆的,沸点高的熏蒸剂往往比挥发性大(沸点低)的化合物易被吸附。一般只发生在物质表面层,因而对于气体浓度的减低往往是不显著的,但是有些物体的表面积很大,如活性炭,那就会产生较大影响。化学吸着作用有较强结合力,常引起气体和物品间起化学反应而生成新化合物,且通常是不可逆的,成为永久性残留物。③二氧化碳:二氧化碳的浓度可能对昆虫的呼吸活动和气门开张有刺激作用。熏蒸剂中加入二氧化碳,可使气门开张以加强或加速药剂的效力。但不同种类的熏蒸剂达到最大杀虫效力所需二氧化碳在空气中的浓度并不相同,空气中二氧化碳的浓度超过限度能使昆虫失去知觉,反而降低熏蒸剂的熏杀毒力。

测定方法

测定方法可概括为三类:①静止气体测定。将昆虫放进大玻璃瓶、玻璃钟罩或其他盛器,同时加入熏蒸剂。包括饱和浓度测定法、熏蒸瓶法和钟罩熏蒸法三种。②流动气体测定装置。与上一类相似,但有气体通入和通出的管道。熏蒸剂由管道引入,而管道上有气流计可控制进入的剂量。按气流方向,可分单向气流装置法和循环气流装置熏蒸法两种。③大型熏蒸箱或熏蒸柜(室)。模仿实际仓库熏蒸的情况,有控制温度、湿度、熏蒸剂循环流动、气体混合的装置。