登录| 注册    
收藏  点赞 

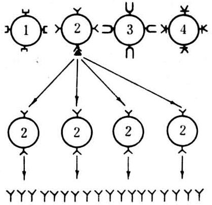
单克隆抗体

由单个克隆的淋巴细胞分泌的针对抗原分子上特定抗原决定簇的同质性免疫球蛋白分子。简称单抗。单抗不同于传统的常规抗体,其优势在于:①特异性单一,只与抗原上某种特定抗原决定簇反应,故可测定常规抗体无法测定的微细差异;②其特异性生来即有,无需吸收、提纯等制备工艺;③可在人工控制条件下长期无限量生产(图)。因此

由单个克隆的淋巴细胞分泌的针对抗原分子上特定抗原决定簇的同质性免疫球蛋白分子。简称单抗。单抗不同于传统的常规抗体,其优势在于:①特异性单一,只与抗原上某种特定抗原决定簇反应,故可测定常规抗体无法测定的微细差异;②其特异性生来即有,无需吸收、提纯等制备工艺;③可在人工控制条件下长期无限量生产(图)。因此,单抗大有取代常规抗体之势。

单克隆抗体示意

抗原物质大多含有多种抗原成分,每种抗原成分又可包括多种抗原决定簇,因此用动物生产的常规抗体是由很多克隆的淋巴细胞分泌的异质性免疫球蛋白分子,称为多克隆抗体。它们在抗体特异性与可重复性方面均有明显不足。淋巴细胞杂交瘤技术的诞生,为生产具有预定特异性的单抗提供了切实可行的方法。

影响因素

①单抗可与相关或不相关抗原分子上相同(似)的抗原决定簇发生交叉反应,因而在以其取代常规抗体前,应根据实验数据对其特异性和交叉反应性作出确切评价。②单抗只结合抗原分子上的特定决定簇,其特异性有时过分专一,以致上述结合能力受到抗原的遗传多态性、糖基化异质性或轻度变性等的影响,因此,在应用某种单抗替代常规血清进行病原分类或诊断实验前,须经足够的数据验证。③每种单抗均有各自的pH值、热稳定性、与抗原的亲和性及结合条件等,彼此间差异很大,应分别测定。

应用

单抗已广泛应用于生物学的各个研究领域。①用于生物学基础研究。单抗作为选择性好、适应性广、效率高的一种生化分离工具,对于极复杂混合物中特定分子的分离、鉴定以及超微结构的分析等,已越来越显示出无比的优越性。20世纪70年代以来,在酶和其他蛋白质、核酸、糖脂、复杂碳水化合物、各种激素、神经介质、自身抗体、自身抗原等生物高分子的研究,在各种细胞受体和细胞膜抗原的研究,在免疫调节免疫遗传控制、免疫细胞之间的协作和各种淋巴因子功能的研究,以及在各种病毒、细菌和寄生虫等病原体的研究等众多方面所取得的成果中,均凝集着单抗的贡献。②用于疾病的治疗。单抗有抗感染、抗过敏、抗肿瘤和抗移植排斥的作用,可用于有关疾病的治疗。③用于疾病的诊断、检疫和病原体鉴定。常规抗血清不同批次间的差异大,影响实验的准确性,单抗使疾病的诊断、检疫和病原体的鉴定更加准确、快速和简便。目前,针对人、动物和植物主要疾病的单抗诊断药盒已有多种成为商品。④用于其他方面。单抗还可用于基因工程疫苗和抗独特型疫苗的研制和生产、各种抗原物质的提纯、妊娠诊断、性别鉴定和性别控制,以及提高畜禽生产性能等方面。