登录| 注册    
收藏  点赞 

动态中和试验

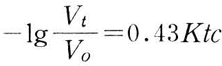
在0、5、10、15、30、60分钟时各取出0.2毫升用生理盐水适当稀释中止反应,立即接种于单层组织培养上,测定存活病毒的PFU。病毒与抗血清混合后的最初一段时间内,病毒PFU的自然对数(ln)呈直线下降,其下降速度与血清中抗体活性呈正比,关系式如下: 动态中和试验 将ln化作常用对数(lg),需乘以常数0.43

检测抗病毒血清中和活性常数的试验。当有过量特异性抗体存在时,病毒的灭活按一种简单的双分子反应的方式进行,其灭活率取决于血清浓度和能表示该血清中和活性的常数(K)。病毒液与抗血清混合孵育后,测定病毒空斑单位(PFU)减少的速度,即可计算出该抗血清的K值。

该试验首先稀释病毒液,使每单位剂量所含PFU达一定浓度,然后将病毒悬液与一定稀释度的血清等量混合,置37℃水浴中孵育,在0、5、10、15、30、60分钟时各取出0.2毫升用生理盐水适当稀释中止反应,立即接种于单层组织培养上,测定存活病毒的PFU。病毒与抗血清混合后的最初一段时间内,病毒PFU的自然对数(ln)呈直线下降,其下降速度与血清中抗体活性呈正比,关系式如下:

动态中和试验

将ln化作常用对数(lg),需乘以常数0.43,即:

动态中和试验

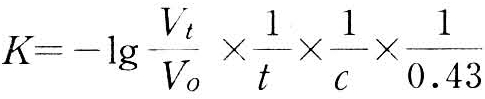
然后按下式代入呈直线下降的最终时间的空斑数(Vt)、开始时的PFU(Vo)及其他数值,即可计算出K值。

动态中和试验

式中 K为中和活性;1g为常用对数;Vt为t时间的病毒PFU;Vo为开始时的病毒PFU;t为反应时间;c为抗体浓度;0.43为常数。

抗血清的K值,即该血清每分钟能使病毒感染价以lnK的速度下降。