登录| 注册    
收藏  点赞 

实验动物遗传学

杂交群两个近交品系动物之间进行有计划交配所获得的第一代动物,称杂交群动物或杂交一代动物。实验动物的F1与一般遗传学上所指的F1不同。一般的F1根本是杂种,其个体间的差异甚大;实验动物的F1系采用两个或两个以上的近交系杂交而得,个体之间却很均一,从遗传型上来看是异型接合体,而其个体与个体之间基本上是相同的,并具有亲本两个品系的特性,即个体间的遗传型与表型均一致,符合作为实验动物的基本要求。

研究实验动物遗传和变异规律的学科。是指导并监控各种实验动物的定向培育、繁殖和保种及开发新品系的基础学科。在啮齿动物的培育方面已形成完善的学科体系。其理论和技术能够在亚分子水平上确定某一种生物种质——合子体的纯度,动用遗传分离——组合和连锁的基本定律,指导育种技术,进行定向繁殖,全世界实验室保种的主要啮齿类实验动物,定名的品系和世族已超过1500种(个),在生物医学研究方面均各有其特定的用途和地位。

杂交群

两个近交品系动物之间进行有计划交配所获得的第一代动物,称杂交群动物或杂交一代动物。实验动物的F1与一般遗传学上所指的F1不同。一般的F1根本是杂种,其个体间的差异甚大;实验动物的F1系采用两个或两个以上的近交系杂交而得,个体之间却很均一,从遗传型上来看是异型接合体,而其个体与个体之间基本上是相同的,并具有亲本两个品系的特性,即个体间的遗传型与表型均一致,符合作为实验动物的基本要求。F1表现杂交优势,克服了近交系存在的抵抗力差、对慢性实验耐受力差、对环境变异的适应能力差的缺点,甚受欢迎。进行杂交组合选择时应注意:①选择遗传特性能表现出杂交优势的品系;②具有试验研究所要求的特性的品系;③两个品系间应具有较强的亲和力和较小的品质差异。杂交F1小鼠标记时写在前面的品系为雌鼠。国际上常用的杂交F1AKR×DBA/2的AKD2F1;C57BL×BALB/c的BCF1;BALB/c×C57BL/6的CB6F1等。在生物医学研究中多用于干细胞、移植免疫、细胞动力学、单克隆抗体等的研究。

封闭群

一个种群在建群五年以上不从外部引进新种,只在一定群体中保持繁殖的动物群。它要求既保持群体的一般特性,又保持动物的杂合性。个体间差异程度因引种来源水平的不同而异。按其来源的遗传背景不同而分为两类:①来源于近交系繁殖群及其子代,而不用同胞兄妹交配方式保种以进行生产的实验动物;②来源于非近交系亦不以培育近交系为目的而生产的实验动物。二者均应采取在群内不产生隔离状态的繁殖方法,群体有效大小在50只以上。群体有效大小是指一个自群繁殖群体,为下一代留种时能从其中随机选种、随机交配以繁殖后代所包含的雌雄亲本数目。群体有效大小可以下列公式计算:

实验动物遗传学

式中

Ne为群体的有效大小;Nf为雌亲本数;Nm为雄亲本数。

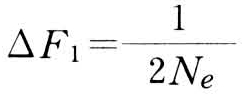
封闭群由于避免近交而保持相当程度的杂合性,故其生育力与生活力皆较近交系为强,易于饲养,因环境因素而造成变异可能性亦较近交系小。每代近交系数上升率不得超过1%。在进行随机交配时,群体有效大小与群体近交系数上升率的关系可利用下列公式计算:

实验动物遗传学

式中

△F1为近交系数的上升率;Ne为群体的有效大小。如:△F1=1%,则按公式计算Ne为50。

封闭群有效时间定为五年,系指小鼠。因为如将两个近交系进行交配培育成一个新的群体,各种基因型出现的频率至15代后方趋于稳定,而小鼠达到15代需5年时间。如豚鼠或免,则封闭群在到稳定的年数要更长。封闭群绝不能在隔离状态下进行繁殖,否则交配不随机,亲本太少,变成兄弟姊妹之间的交配,导致该封闭群分化成许多近交系,破坏了封闭群固有的遗传结构。在建立封闭群时,原则上不进行淘汰方式选种,以避免把基因决定的性状引向特定方向,而使群体内基因结构发生变化。但已育成封闭群后,挑选种鼠时,仍以选繁殖率高者为宜。国际上著名的封闭群,小鼠有NIH、ICR,大鼠有Wistar、SD,家兔有新西兰大白兔。中国实验小鼠中的昆明系为广泛应用的封闭群。多应用于生物药品和化学药品的鉴定。

近交系

按照国际规定,经过连续20代以上的全同胞兄妹或亲子所生的品系称为近交系。近交系动物具有较稳定的遗传特性和基本一致的遗传背景,以及比较狭隘的遗传基础,个体之间比较均一和相似,是生物医学研究工作中比较精确的活实验材料。利特尔(C.Little)于1909年育成高乳腺瘤的DBA系小鼠。1919年又与斯特朗(L.C.STrong)共同开发了C3H、CBA及A系。麦克道尔(E.C.Mac Dowell)同时料育成了BALB/c系小鼠。1921年利特尔育成了C57BL系、C57Br系;麦克道尔建立了高白血病发病率的C58系小鼠。1929年利特尔建立了杰克逊(Jackson)实验室,一直在近交系小鼠中保持领先地位,为各国研究者提供种鼠。由于自然界的动物在遗传上一般均为杂合子,故只能采用近亲交配以降低其杂合性,通过近交使基因位点变为纯合子,使其表现型趋向一致。种系中纯合性程度通常以近交系数表示。近交系数即一个种系的个体中两个等位基因具有共同来源的概率,通常以0~1之间的尺度来表示,F=0为完全杂合,F=1表示完全纯合。F值随近交繁殖连续,费尔考纳(Felroner)提出了一个计算公式:

Fn=1-(1-△F)n

式中

n是近交代数;△F是每进一代的近交系数上升率。

自第5代起,以后每代近交系数上升率为19%,至20代时其理论值可达98.6%。但纯合程度必须由遗传质量监测的许多方法加以鉴定。近亲交配的后代常会出现生长、成活、生育、抗病与适应环境能力下降的近亲衰退的现象,系由于有害隐性基因的暴露,纯合性引起的衰退以及多基因平衡受破坏所致。近交衰退往往在培育的最初若干世代中表现出来,以后经过一定的人工选择,带有纯合有害基因的动物逐渐被淘汰,或者由于无意地保留了一小部分的杂合性,经过5~10代左右的培育,后代的繁殖力与生活力可以逐渐稳定,不再下降。近交系的培育应以定向为主,预先确定要获得何种性状的品系,然后进行培育,收效较快。种鼠的来源可分:①从野生鼠中选择,因其可能具有实验小鼠所未有的未知遗传特性;②从起源于未经近亲繁殖的种群中选择;③从杂交群中选择,尤以三元杂交及四元杂交最为常用。近交系交配方式以选优法为最佳,此法假定每代选6对,每对均选自同一双亲的仔代同胞兄妹,在繁殖过程中每一代均保持6对,如某对出现不孕或生产能力降低时,可从另一对所生的后代中择优代替。此法克服了单线法易发生断代的危险,又避免平行法生产的个体不太均一的缺点。为了使近交系每个动物身分明确,在培育开始时即须进行动物标记(耳记、趾记等)。此外,必须备有个体卡片、登记底帐及血统记录加以细心管理。每一房舍只能饲养一种品系以免污染。自1952年起,近交系小鼠标准命名委员会每4年在《癌症研究》(Cancer Resarch)上公布批准的新近交系名单,在近交繁殖过程中,由于异型合子的基因分离、突变的产生以及抽样误差等均会造成遗传趋异而产生亚系,分化亚系的多少与基因的杂合程度成正比,留种家系在代数较早时即分支,产生亚系的机会亦多。近交系动物以小鼠为最多,大鼠、叙利亚仓鼠、中国仓鼠、豚鼠、长爪沙鼠皆有近交系。中国已有自行培育的近交系小鼠。近交系小鼠必须定期进行遗传学监控。

重组近交系

由于独立分配或交换而在后代中出现亲代所没有的基因组合。是采用两个不同的近交系作为祖代,相互交配而产生杂交一代(F1),再用F1互交而产生杂交二代(F2)。从第二代开始采用全同胞(b×s)交配,至经过20代的近亲繁殖而育成。重组近交系的发展和使用,是哺乳类动物遗传学中重要的进展。第一群重组近交系是两个无关的、近亲程度较高的BALB/c(缩写c)和C57BL/6By(缩写B6)品系之间的互交而育成7个系。命名为CXBD、CXBE、CXBG、CXBH、CXBI、CXBJ和CXBK。它们都是同一祖先的后代,一般需要7年的时间才能培育成功一群重组近交系。现已育成5群,其中C57BL/6J和DBA/2的祖先所繁育的后代共包括24个系。

命名法包括共同亲代名称的缩写,用一个大写的英文字母X分开而不留空隙。如CXB,是来源于BALB/CXC57BL的一组杂交后代的重组近交系。除了众所周知的品系采用不同的名称外,在相同的系列中,不同的重组近交系以数字相区别,如:CXB2,CXB3。为了清楚,可任意用一个连字符将一个系列中的不同品系分开,如CXB6-2

重组近交系对新发现的遗传特性具有高度的分析能力。重组近交系群应该成群使用,每个重组近交系有它自己的特性。因此,这群中的每个系所表现的特性组成一个类型,称为品系分布类型。这也是重组近交系最有用的特性。

由于重组近交系动物既具有双亲品系的特性,又具有重组后一组内每个重组近交系的特性,因此,已广泛用于新的多态型基因位点和新的组织相容性位点的鉴定,多态型位点的多效性效应和多态型位点的连锁关系的研究和探测,以及临界特性的遗传分析。此外,也用于寿命、自发性和诱发性疾病感受性的研究,以及生理学、药理学、形态学和行为特性的生物统计分析等方面的研究。

同源近交系

两个同基因的品系,只有一个位点的基因型不同,来源于一个近交系中发生突变的结果称为同源近交系。其繁殖方法采用全同胞(b×s)交配并结合回交培育而成。以适合的品系符号,亚系符号命名。保持突变采用:①在品系内或原种内兄妹交配;②以原种的品系作为亲本系回交或杂交—杂交合子互交;③回交或杂合子互交,使具有杂合性的兄妹交配;④纯合子互交,使具有纯合性的兄妹交配。

同源近交系和同类近交系的应用是为了研究一个主要的突变型并具有标准化遗传背景,比使用遗传多样性的远交群动物能获得精确的结果。如:C57BL/6-ob小鼠,是近交系C57BL/6具有肥胖症的小鼠。又如:BALB/C-nu小鼠是具有BALB/c遗传背景的裸鼠等。同一近交系具有几个不同的突变型,可应用于研究小鼠的主要组织相容性复合体对寿命长短的作用。

同类近交系

除一个或两个基因不相同外,其余基因都相同的生物品系。例如小鼠的各种组织亲和性基因品系。这种动物的培育是:①回交法,经10世代,或10世代以上;②杂交—杂合子互交法,用一个近交亲本品系,经10或10个以上循环。与接受导入的原近交系的差别,在于具有一小段染色体的几个位点,其中包括一个所需要的主要位点。采用同源近交系中②、③或④,保持其已传递的突变。

命名的方法是利用遗传背景品系的全名或者缩写后面加上:①一个句号和一个供体品系的缩写符号;②一个连接号和不同位点或位点丛和等位基因的符号(斜体字)。如是隐性基因用小写字母,显性用大写字母。如果是来源于相同供体的品系,各个系以一个数字与加圆括弧的字母相区别,供体品系不是近交系时,或者遗传性差异比较复杂,或者品系已为普遍熟知时,则不适宜使用全称符号,可以使用一种不很完全的符号。若与背景品系最少作了10个世代的回交(以第一代杂交F1作为世代1计算),利用这种方法育成的品系互为同类系。回交的世代的次数用N指出,写在括号内,必须使用更加复杂的交配方式时,世代数用与N数值相当的数字(NE)表示,一个同类系的最低世代数为NE10

同类近交系应用于遗传复合特性的详细分析,可以逐个分离出小鼠的单个H位点和大鼠的AgB位点。在研究小鼠的组织相容性位点中,已证实H位点有30个以上。另外,也应用于病毒性白血病的研究。

分离近交系

指一对性状的分离。实质上是双倍体生物的一对基因分别进入两个配子,从而分别出现在不同子代的个体中。繁育体系是使具有杂合性的兄妹交配法,经20个世代或20个以上世代,采用:①回交;②杂合子互交;③杂交和杂合子互交;④回交和杂合子互交而产生的品系。其最低近交程度与一般的近交品系相同,即全同胞交配20世代。保持品系也采用上述方法。

命名方法以一个品系符合的后面加一个连字符和分离位点的基因号。表示分离位点的符号是可以任意选择的,利用杂合子强制近交建立起来的分离近交系,其近交世代数目用FH表示,写在括号之内。

分离近交系是以全同胞交配方式使特定基因位点强制地保持杂合型。①一种育成系统是兄妹近亲交配并回交,将杂合型个体与纯合型个体交配。再将其后代中分离出的杂合型和纯合型兄妹再交配。如异常基因与正常基因,经近亲交配就能同时得到带有异常基因的正常的个体。这些个体只有在特定的基因位点上的基因不同,其他基因型全部相同,非常有利于进行某些特性分析。这样强制保持的杂合型,每一代都可分离出不同的表现型,因而称为分离近交系。②另一种育成系统是兄妹近亲交配并自交。其原理是相同的,但采用了自交方法,即将每一代的杂合型之间进行交配,其后代能分离出正常纯合型、异常纯合型及杂合型,从中只选出杂合型交配下去。

近亲交配所得到的品系,在理论上基因型已被固定,在实验中能连续使用相同基因型的动物,可望获得重复性高的结果。

遗传缺陷型动物

在长期繁殖过程中,某个基因或染色体发生变异,并丧失了原有的正常功能的动物。其发生的变异,能维持稳定的遗传形质;这种正常基因或染色体发生改变所造成有遗传缺陷的品系称为突变系。

在小鼠和大鼠中,通过自然突变和人工定向突变,把突变的动物留种,人工培育成突变品系,以供特殊研究使用,这就成为很有科学价值的动物模型。如小鼠的肌肉萎缩症(dy),与人的肌肉萎缩症相似。溶血性贫血(ha)小鼠,与人的自身免疫的溶血性贫血症和红斑狼疮相似。无毛无胸腺裸鼠(nu),因缺乏胸腺,一般可接受各种正常组织和肿瘤的研究,是免疫学研究的重要动物模型。裸鼠能接受多种人体癌细胞的移植,已成为研究癌症机理和筛选治疗癌症药物的模型动物。无胸腺的裸大鼠用于美容学研究等。现在除无毛无胸腺的裸鼠外,还有无胸腺、无脾、无T细胞和无B细胞的“四无”小鼠等16种免疫缺陷动物,在免疫学、肿瘤学、传染病学等学科的研究工作中极有价值。