登录| 注册    
收藏  点赞 

畜舍热湿平衡

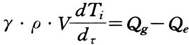
畜舍内热量和水分得失相等的关系。这种关系可通过热湿平衡方程描述。热湿平衡方程对于农业建筑设计、畜舍环境调控具有重要意义,它是确定设计和调控参数的理论基础,也是畜舍科学管理的依据。畜舍热平衡畜舍内得热和失热的动态关系,可用下式表示: 畜舍热湿平衡 式中 γ为空气比热容(焦耳/千克·℃);ρ为空气密度(千克/米3);V为舍内容积(米3)

畜舍内热量和水分得失相等的关系。这种关系可通过热湿平衡方程描述。热湿平衡方程对于农业建筑设计、畜舍环境调控具有重要意义,它是确定设计和调控参数的理论基础,也是畜舍科学管理的依据。

畜舍热平衡

畜舍内得热和失热的动态关系,可用下式表示:

畜舍热湿平衡

式中 γ为空气比热容(焦耳/千克·℃);ρ为空气密度(千克/米3);V为舍内容积(米3);为舍内气温的时间变量(℃/秒);Qg为畜舍某时刻的得热(焦耳/秒);Qe为畜舍某时刻的失热(焦耳/秒)。当=0时,为稳态热平衡方程,舍内得热与失热相当,畜舍恒温管理,当>0时,畜舍得热大于失热,畜舍升温;当<0时,畜舍得热小于失热,畜舍降温。冬季外界气温低,舍内外温差大,畜舍围护结构传导失热多。为了保持畜舍的热量平衡,必须增加热源或减少通风。夏季外界气温高,为了防止畜舍过热,必须减少进入舍内的太阳辐射热或加大通风量,以驱散多余的热量,保持畜舍的适宜气温。

畜舍湿平衡

畜舍内水汽产生量和损失量的相等的关系,可用下式表示:

畜舍热湿平衡

式中 Ma为舍内空气的质量(千克);为舍内空气相对湿度随时间的变化量;Wg为舍内产生的水汽量(千克/小时);WL为舍内向舍外排放的水汽量(千克/小时)。水汽来源主要有:①家畜通过呼吸释放的水汽量。②畜舍内各种表面蒸发的水汽量。水汽排放主要通过通风换气实现,即WL=G(W0-Wi);G是通风流量(千克/小时);W0是排出空气中的水汽含量;Wi是输入空气中的水汽含量。当=0时,上式为稳态湿平衡方程,畜舍水汽产生量等于水汽排放量,即实行恒湿管理。在实际生产中,一般根据家畜的生理和生产需要,将湿度控制在一个适宜范围内,实行变湿管理。调节方法主要是控制通风。在饲养管理中,要注意水槽漏水,勤打扫粪便,防止潮湿等。