登录| 注册    
收藏  点赞 

电力拖动调速系统

按照规定的指令,及时地控制电动机的启动、制动、转向和工作转速,以满足工作机械及生产工艺要求的自动控制系统。它由拖动生产机械的电动机及其控制装置组成。调速系统的性能直接影响工作机械的精度、生产率及可靠性等一系列经济指标。调速系统的分类和发展按照电动机的类型不同,电力拖动调速系统分为直流调速系统和交流调速系统两大类。

按照规定的指令,及时地控制电动机的启动、制动、转向和工作转速,以满足工作机械及生产工艺要求的自动控制系统。它由拖动生产机械的电动机及其控制装置组成。调速系统的性能直接影响工作机械的精度、生产率及可靠性等一系列经济指标。

调速系统的分类和发展

按照电动机的类型不同,电力拖动调速系统分为直流调速系统和交流调速系统两大类。20世纪50年代以前,采用由交流电动机和直流发电机构成的旋转变流机组供电的发电机-电动机系统(简称F-D系统),改变发电机的电压以调节直流电动机的转速。从50年代开始,采用水银整流器(大容量时)和闸流管(小容量时)静止变流装置供电,获得可调的直流电压,形成离子拖动控制系统。60年代以来,广泛应用可控硅整流器作为直流电源,实现自动调速闭环系统,这种系统具有自动调节和稳定电动机转速的作用,效率较高、控制灵活、响应速度快、成本低、体积小、重量轻及无噪音等优点。称为可控硅整流器-直流电动机自动调速系统(简称SCR-D系统)。但因直流电机结构复杂、维修不便和价格较昂贵,于是在研制直流调速系统的同时,对以异步电动机为主的交流拖动调速系统开展研究。60年代以后,随着电子技术的发展,采用半导体变流技术的交流调速系统得以实现。尤其70年代以来,交流调速系统在调速范围、稳速精度、动态响应与可逆运行等方面,获得良好的技术性能。

直流调速系统

直流电动机的转速为:

n=(U-IR)/Ke·φ

式中 n为直流电动机转速(转/分);U为电枢供电电压(伏);I为电枢电流(安);R为电枢回路总电阻(欧);φ为励磁磁通(韦);Ke为电机结构决定得常数。

直流调速有四种基本方法:①改变电枢回路电阻,这种调速方法只能有级调速,调速比约为2∶1,转速变化率大,轻载下难以获得低速;低速时,调速电阻损耗大。②在电动机电枢电压一定时(通常为电动机额定电压),减弱励磁磁通φ,电动机的转速与之成反比的增加。减弱磁通虽能平滑调速,但调节范围不大,调速比一般为1.5∶1~3∶1,通常是配合调压方案,在电动机额定转速以上作小范围的升速,这种调速方法属于恒功率调速。③改变电动机电枢电压U,可得到一组平行的机械特性,能在比较大的范围内进行无极调速,这种调速方法属于恒转矩调速,是常用的调速方法。

直流发电机-直流电动机(F-D)调速系统

利用改变直流电动机的电枢电压和励磁磁通,可以在很宽的范围内实现无极调速,所以这种方案仍是目前应用较多的一种。此系统由:交流电动机(异步电动机)拖动直流发电机及直流励磁机组成变流机组,作为调速系统的能量来源,向拖动工作机械负载的直流电动机供电,励磁机的功用是供给发电机和电动机励磁绕组的直流电源。系统总的调速范围可达30左右,其机械特性曲线在调U时为一族平行的下斜直线;调φ时是一族不太平行的下斜直线。系统中的异步电动机、励磁机和直流发电机都是为直流电动机服务的,整个系统的容量比较大(约为电动机容量的2.5~4倍),初投资费用也很大,而效率却比较低(常在70%~80%之间),且在运行中噪音较大,这是F-D系统的主要缺点。

系统调速采用两种方式:①在额定转速(通常就是基速)以下调速时,调节直流发电机励磁电路电阻,即改变发电机的励磁磁通,发电机电势是常数,于是改变其电枢两端的电压,属于变电枢电压调速;②在额定转速以上调速时,调节直流电动机的励磁电路电阻,即改变直流电动机的励磁磁通,属于变励磁磁通调速。

可控硅整流器-直流电动机(SCR-D)调速系统

可控硅是一种半导体器件,具有功率增益大、耐压高、快速性和控制性能好、效率高以及体积小、重量轻、寿命长和无转动部分等优点,因此目前正被用来替代直流发电机-直流电动机调速系统。此系统的机械特性分为电流连续和电流断续两种情况。电流连续时的机械特性与F-D系统大致一样,为线性的相互平行的斜线族;电流断续时的特性与连续时有很大区别,为非线性的,且特性很软,近似于串励直流电动机的特性。调速系统可以构成开环或闭环,但开环的调速系统不能实现宽范围和精确的调速。调速范围越宽,低速运行时的弱点越突出,其中主要的是低速抗负载扰动的能力很差。单纯由克服机械因素的影响(如改进润滑、连接方法等)和提高控制元件的精度,并不一定能解决问题,为此以速度负反馈将开环系统改为闭环系统,使系统具有自动调节和稳定(根据给定值)电动机转速的作用。①SCR-D自动调速系统构成的基本方式,即双环不可逆调速系统。其典型系统包括有两个环,内环是电流控制环,外环是速度控制环。每个环都包含有一个调节器(速度调节器和电流调节器),它们是比例-积分环节或是比例-积分-微分环节,用来串联校正和改善系统的静态和动态特性以及综合输入和反馈信号。如电动机负载或交流电网电压发生变化,或有其他扰动存在,则经过速度反馈后,系统能起自动调节和稳定的作用。如电网电压发生突然变化,整流器输出电压也会随之而变,引起主回路电流发生变化,由于电流反馈的作用,抑制了主回路的电流变化,即电流反馈对于电动机转速变化具有“早期抑制”的效果。如果机械负载或电枢电流突然发生很大变化,电流负反馈也能及时将过电流故障反映到控制回路中去,迅速减小输出电压,从而保护可控硅和直流电动机,不致因电流过大而损坏。②电枢反向的SCR-D可逆自动调速系统,不可逆系统中电机不能反转,也不能进行再生、发电和反接制动,使应用受到限制。电枢电路中改变电流方向或励磁电路中改变磁场方向都可使电机反转,因此可逆系统分为:电枢反向SCR-D可逆系统和磁场反向SCR-D可逆系统。电枢反向可逆系统可有多种不同方案,目前应用较广的是采用两组可控硅(反并联或交叉连接)的可逆调速系统。它们又分为有环流系统和无环流系统两类。磁场反向的可逆调速系统是向上调节且为恒功率调速。对于某些恒转矩负载,为了进一步扩大调速范围,除采用调压调速外还采用调磁调速,要求两者结合,并在两种调速的分界上实行自动切换,从而可使调速范围大为扩大。至于自动弱磁调速系统,由于操作不便,应用较少。

交流调速系统

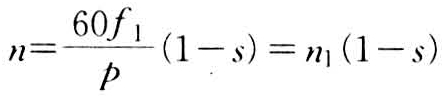
异步电动机的转速为:

电力拖动调速系统

式中 n为电动机转速(转/分);f1为定子供电频率(赫);s为转差率(%);p为极对数;n1为定子旋转磁场的同步转速。

由上式可见交流电动机的调速方法有:①改变磁极对数p调速,由于磁极对数必须是整数,因此,这种调速方法是跳跃式的,有级的,通常较多的是两级,即调速比为2∶1,也有三级或四级的。变极调速的依据是改变三相绕组中每一相绕组的半相绕组电流方向,使磁极对数减少为原来的一半,亦即转速提高一倍。此外,还可接成Y形或△形,于是又有Y-YY、Y-△△、△-YY及△-△△变换等。但不论三相接法如何不同,其极对数仅改变一次,只能有两种转速。当电极由少极数接法改换为多极数接法时,应同时改变其接入电源的相序,否则电动机将反向旋转。②改变转差率s调速,有:定子调压调速、电磁转差离合器调速和线绕式异步电动机的串级调速等。③改变频率f调速,变转差率调速,并不改变电动机的同步转速,但低速时转差损耗大,效率很低。改变定子供电频率来改变同步转速实现调速,在调速过程中从高速到低速可保持有限的转差率,因之效率高、范围宽且精度高,变频调速是异步电动机的一种比较合理而理想的调速方法。

异步电动机调压调速系统

一般采用可控硅交流调压电路,并且以相位控制为主。为了使异步电动机在低速下稳定运行且又不致过热,电动机转子回路须具有较高的电阻。对于鼠笼式异步电动机转子导条采用高阻抗材料制成;对于线绕式异步电动机,在转子回路中串接频敏变阻器,其阻值随通过的电流频率的增高而增大。实际中常采用附有转速负反馈的调压调速系统,以改善交流调压调速系统的性能,不但保证了电机在低速下稳定运行,而且提高了调速的精度,扩大了调速范围。交流调压调速系统线路简单,调压装置体积小,价格低,使用维修方便,但低速运行时电机转差损耗大,效率较低。因此,不适于长期运行于低速区的情况,而适用于转矩与转速的平方成正比的通风机及泵类机械负载,当要求转差率s=3%时,调速范围可达10∶1。

电磁转差离合器调速系统

这种系统由鼠笼式异步电动机、电磁转差离合器以及控制装置组成。异步电动机作为原动机以恒定的转速带动电磁离合器的电枢,通过改变电磁离合器的励磁电流,就可改变输出轴的转速,但电磁离合器的机械特性很软,限制了调速的精度和调速范围。为改善运行性能,通常配装测速发电机和相应的控制装置,构成具有转速负反馈的调速系统,其调速指标可达到转差率s=2.5%,调速范围D=3~10。这种调速系统控制简单、价格低,但在低速运行时损耗较大、效率较低,特别适用于要求有一定调速范围而又经常高速运行的机械负载。

线绕式异步电动机串级调速系统

在电动机外加电压U1及负载转矩不变的条件下,若在线绕式异步电动机转子电路中,附加频率和转子电势频率相同的电势EK,而其相位相同或相反,则可以近似得到:

sE20±EK=常数

式中 E20为电机堵转时转子电势(伏);s为转差率(%);EK为附加电势(伏)。由于堵转时,E20是常数,所以改变EK就可以改变s,也就改变了电动机的转速。当EK与sE20同相位,使转子合成电势增加,可达到向上调速的目的,称为超同步调速。相反,可达到低于同步转速的向下调速的目的,称为次同步调速,是目前广泛应用的调速方法。串级调速系统具有效率高、装置容量小、调速精度高、性能好、安全可靠等优点,缺点是功率因数较低。

变频调速系统

改变异步电动机定子供电频率f1,即可改变电机的同步转速n1,达到调速的目的。如变频时f1降低,电动机每相电压U1≈E1=4.44f1W1KW1Φm不变,每极气隙磁通Φm将加大,而使磁路饱和,引起励磁电流增加,使产生转矩的有功电流减小,严重时将损坏绕组,因此在降低f1的同时须降低U1(或E1),并保持U1/f1=常数(或E1/f1=常数),才能保证Φm不变。如f1升高而超过电动机额定频率f1ed(基频)时,因U1不能大于额定电压U1ed,只能保持U1=U1ed=常数,随着f1的升高,Φm∞1/f1(f1>f1ed)将减弱。变频调速有三种方法:f1≤f1ed时,E1/f1=常数或U1/f1=常数的恒磁通变频调速;f1>f1ed时,保持U1=U1ed=常数的弱磁变频调速;保持E1/f1=常数的变频调速,属恒转矩调速。保持U1/f1=常数的变频调速在f1较高时,与保持E1/f1=常数控制基本相同,而在f1较低时,Φm也要减小,达不到恒转矩调速的性质,为提高低频区电动机输出转矩和过载能力,采用低频补偿措施,即随f1的降低适当提高U1/f1的比值,以补偿定子阻抗压降,使Φm近似恒定。保持U1=U1ed=常数是一种弱磁升速的变频调速,近似为恒功率性质。在基频以下采用低频补偿U1/f1=常数的恒转矩变频调速和基频以上采用U1=常数的恒功率变频调速,可得到较宽的调速范围。

系统电源的变频由变频器将电压、频率不变的交流电源变换成需要的电压、频率可调的交流电源。变频器有间接变频和直接变频两大类。间接变频器又称交-直-交变频器,根据中间滤波环节的主要储能元件不同,又分为电压型和电流型两种,电压型适用于对多台电动机成组供电,电流型适用于单机拖动和对动态特性要求较高的情况。直接变频器又称交-交变频器,适用于低速拖动或是将中频变为较低频率的情况。电力电子技术的发展,促使各种静止变频器得到迅速发展,但由于价格昂贵,技术复杂,限制了它的推广应用。随着生产水平的提高,变频调速系统将在某些领域逐步取代直流调速系统。