登录| 注册    
收藏  点赞 

农村能源建设项目经济评价

用经济分析的原理和方法对农村能源建设项目的经济效果进行的对比、分析、衡量和选优。经济评价是项目可行性研究的组成部分和重要内容,它根据农村经济发展需要及地区发展规划的要求,在作好产品(服务)市场要求预测及建设方案选定的基础上,计算项目投入的费用(成本)和产出的效益,通过多方案的比较,对拟建项目的经济可行性和合理性进行分析论证,作出全面的经济评价,为项目的科学决策提供依据。

用经济分析的原理和方法对农村能源建设项目的经济效果进行的对比、分析、衡量和选优。经济评价是项目可行性研究的组成部分和重要内容,它根据农村经济发展需要及地区发展规划的要求,在作好产品(服务)市场要求预测及建设方案选定的基础上,计算项目投入的费用(成本)和产出的效益,通过多方案的比较,对拟建项目的经济可行性和合理性进行分析论证,作出全面的经济评价,为项目的科学决策提供依据。

农村能源建设项目同其他建设项目一样,一般应分别进行财务评价和国民经济评价(见农业项目财务评价农业项目国民经济评价)。农村能源建设项目一般具有投资少、分散的特点,与农民和当地政府的利益关系密切,进行评价时,财务评价一般是分析农民家庭或农村企业的效益;国民经济评价则从地区(县、省)或国家的角度进行分析。项目的经济评价一般采用最小成本法、成本效果法或成本效益法三种方法。当项目的效益不能定量化时采用最小成本法。当项目效益可以定量化但难以货币化时可采用最小成本法或成本效果法;对效益可以货币化的项目经常采用成本效益法,也可使用前两种方法。

最小成本法

计算各种可供选择项目的成本并从中选取成本最小的项目。可使用总成本现值最小或成本年金最小两种办法。

总成本现值最小是计算项目的总成本现值,并选取其中最小者。总成本现值计算公式为:

农村能源建设项目经济评价

式中 C为总成本现值(元);Ct为第t年成本(元);r为贴现率;n为项目寿命期(年);t为年份。

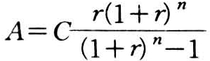
成本年金最小是在比较的项目有不同的使用寿命时,或者项目年成本不是固定不变的情况下,可以使用贴现的方法将项目的成本年金化,用等值年金成本作比较,取其中最小者。年金成本A的计算公式为:

农村能源建设项目经济评价

成本效果法

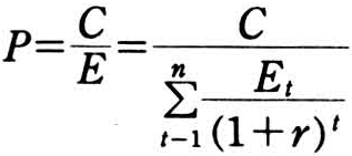
以单位产出的成本最低来选择项目,也称为单位产出成本法。它的计算是用总成本现值除以产品总产量现值。农村能源项目的产值和成本用人民币“元”为单位,产量用能量单位表示,如“吨标煤”,“焦耳”,“千瓦时”等。单位产出成本的计算公式为:

农村能源建设项目经济评价

式中 P为单位产出成本;C为总成本现值;E为总产值现值;Et为第t年产量;r为贴现率;n为项目寿命期;t为年份。

成本效益法

与上面两个方法的不同点是不仅要计算成本,还要计算以货币表现的效益,并进行效益是否好于成本的判断。通常用下列3个指标进行评价:①净现值指标;②内部收益率指标;③投资回收期指标。

项目评价所采用的数据大部分来自预测和估算,有一定程度的不确定性。为分析不确定因素对经济评价指标的影响,需要进行不确定性分析,以预测项目可能承担的风险,确定项目在财务、经济上的可靠性。常用的分析方法有敏感性分析和盈亏平衡分析。