登录| 注册    
收藏  点赞 

农村能源需求预测

对未来农村地区生产和生活能源消费量、能源品种和消费部门构成变化趋势的综合分析和科学推断。能源消费对宏观经济、社会发展的重要作用及其互相影响,使能源需求预测成为综合能源规划体系内的一个重要组成部分。

对未来农村地区生产和生活能源消费量、能源品种和消费部门构成变化趋势的综合分析和科学推断。能源消费对宏观经济、社会发展的重要作用及其互相影响,使能源需求预测成为综合能源规划体系内的一个重要组成部分。农村能源需求预测力求与农村地区宏观经济、社会发展相符合,在预测初始阶段,需对包括技术、经济和社会等影响能源消费的诸因素作出具体评价,通过能源需求分析和预测指出相对价格的作用、能源转换工艺技术变化的影响、燃料间相互替换的能力以及能源与经济的相互影响。

作为综合能源规划中的一个环节,需求预测宜在占有初步能源数据后进行。需求预测又是规划过程中一个中间步骤,其结果将作为下一步能源供求平衡分析的输入。由于综合规划是在反复迭代过程中完成的,因此需求预测数据要在整个能源规划、决策和管理分析的过程中不断地重新审核和调整,最终得到合理的预测结果。

内容和分类

需求预测按内容分成宏观需求预测(国家或地区)和部门需求预测(部门或行业);按预测时间的长短,一般可分为近期、中期及长期预测。

宏观需求预测主要解决两方面问题。第一是给出一个地区能源需求总量。它主要受该地区人口、经济发展、农民收入以及相对价格的影响。探讨和分析这些因素与能源需求量的函数关系,并提出未来一定年份的能源需求数据,是宏观需求预测的重要内容。第二,要区分各能源消费部门对各种不同能源品种的需求量,以及燃料价格变化对它们的影响,据此求得能源按部门和品种的消费构成。能源品种按最终用能分成:静态轴动力(例如排灌、农产品加工等)、拖动(例如运输、耕作等)、工艺热(高、中、低温)、焦炭、民用动力(照明、家用电器)、炊事、取暖及能源作非能源用途。能源品种按一次能源分有煤、石油、天然气、核裂变材料等常规能源,以及太阳能、水能、风能、海洋能地热能生物质能等可再生能源。在中国农村能源消费按部门分为农业生产(农、林、牧、副、渔)、乡镇企业(乡村工业、建筑业、交通运输、服务业及其他)和农民生活用能等。也可根据预测要求再细分成更多的部门。

部门需求预测是按部门分类,分别研究每一个部门未来的能源需求受技术变化和燃料间替换潜力的影响。包括最终用能设备(例如需要供暖的房屋、生产用的机械、烹调用的炉灶等)在内的工程技术特性与宏观参数及价格作为部门需求预测的重要参量。

宏观需求预测和部门需求预测是从两个不同角度进行的。一般说,部门需求预测是一个地区能源总量需求预测的第一步。但实际上由于宏观数据较易取得,而且这两种预测内容是互相补充的,所以在预测过程中,要按照要求结合使用。

近期能源需求预测的周期在几年之内。由于时间较近,国民经济与社会发展及其变化比较清楚,能源结构也不可能发生很大变化。能源的供应主要来自已经建成或开始建设的能源基地及设施。因此预测结果比较准确,对决策分析能起重要的参考作用。中期能源需求预测的周期约为10年至20年。影响能源需求的因素较难准确掌握,因而预测总伴随着各种设定的条件。然而,这种预测可以表明在预测期内能源需求量是否能适应国民经济与社会发展的需要,以利于确定近期内需要开始建设的能源工程的种类与规模,节能的目标和措施,从而在能源方案的选择上具有一定的灵活性。长期能源需求预测的周期超过20年。这种预测虽然粗略,其结果准确度也颇差,但却能提出极其重要的战略问题,直接影响到近期能源建设和能源科研等一系列政策和决策。

预测方法

按照预测要求可以选用不同的预测方法,并可把几种方法结合使用以取得较为满意的预测结果。

判断分析法

对国内外大量的农村能源消费数据和资料进行归纳分析,结合所研究范围的实际要求进行对比分析和预测能源需求量。预测结果比较粗略。

弹性分析法

研究能源需求受收入(或经济活动)或价格的影响,并建立能预测未来能源需求量的相关关系。当前在中国主要应用的是能源需求的收入弹性分析。它可以定义为能源需求变化百分率与引起该变化的消费者收入变化百分率之比。用代数式表示的需求收入弹性为:

式中 IED为需求收入弹性系数;E为能量消费量(能量单位);Y为收入量(货币单位)。

农村能源需求预测

从公式知道能源需求收入弹性反映了收入(或经济活动)变化时能源需求的响应程度。它概括了一个地区能源需求与收入的宏观关系。这种方法原理简单,运算方便,但不能反映能源系统内部的复杂关系,因而使这种预测和分析带有某种不确定性因素。

技术经济法

建立能源需求量与一组技术、经济和社会的参数及变量之间的定量关系,并以此预测未来的能源需求。这种预测能定量地反映影响能源需求诸因素的作用程度,使预测结果有较大的可信度。

投入产出法

把能源作为国民经济的一个组成部分,通过投入产出分析,找出能源需求量和各物质生产部门(或产品)的内在联系和规律,建立投入产出模型,反映了能源的影响因素和能源需求量之间相互作用、相互制约的关系。通过计算,可以求出各部门总产出量,包括了能源产品的需求量。因此预测结果具有最好的综合性和协调性。并且投入产出模型便于与能源供求平衡和政策分析模型结合使用,使能源供求预测和决策分析协调一致(见投入产出法)。

人均能源消费增长法

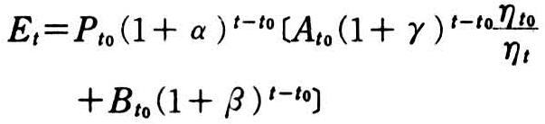
这是预测农村地区生活用能总量的简便方法。农村生活用能总量主要取决于人口及其增长,以及人均年能源消费量及其增长。人均年能源消费量又可分成农民的基本生活能源消费量和文明生活能源消费量,前者包括炊事、取暖和照明等,主要受到消费的能源品种构成及使用设备效率的影响;后者主要是家用电器用能受收入水平影响,能源品种是电力。设t0为预测基年,t为预测年,则某一农村地区在预测年的能源需求量Et可以用下列公式表示:

农村能源需求预测

式中 Pt0、At0、Bt0分别表示基年时的人口数、人均年基本生活能源消费量和文明生活能源消费量;α、γ、β为预测年段(t-t0)期间相应的平均增长率;ηt0和ηt为基年t0和预测年t时基本生活用能综合转换效率。

应用上述公式进行预测时,可以选择不同参数进行多个方案的计算。当预测周期较长时,也可分成几个预测年段顺次进行。预测时,首先要有基年t0时的数据资料,即Pt0、At0、ηt0及Bt0。在确定了预测年段后,还要估计各增长率α、γ、β及能源转换效率ηt,为预测方便及进行多方案比较,常常把公式列表再进行计算和预测。