登录| 注册    
收藏  点赞 

农业机械电力拖动试验

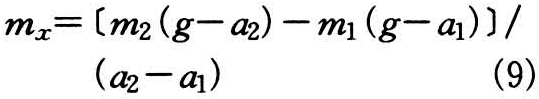
电动机启动转矩所必需的重要参数,电动机在额定电压下,启动转矩须满足: 农业机械电力拖动试验 式中 Ku=U/UN为电动机启动时的相对端电压,UN为额定电压(伏),U为实际电压(伏);MN为电动机的额定转矩(牛·米)。启步转矩的大小,主要取决于生产机械运动副的摩擦阻力,且与生产机械的技术状态、装配质量、轴承润滑状况、工作机构中残存加工产品的程度等因素有关。

获取农业机械的拖动参数的方法。用以分析农业机械电力拖动的工作条件,正确选择电动机,保证拖动系统具有良好的动力性能。获取农业机械的启步转矩、空载机械特性、空载损耗特性、运动系统的惯性矩、启动加速时间及负载图等,是实现机电设备的合理配套及提高用电设备的使用技术水平的科学基础。

确定农业机械的启步转矩

启步转矩Mm.st是为了使农业机械由静止状态拖动至运动状态,必须克服其拖动轴上的阻转矩。它是校核所选电动机启动转矩所必需的重要参数,电动机在额定电压下,启动转矩须满足:

农业机械电力拖动试验

式中 Ku=U/UN为电动机启动时的相对端电压,UN为额定电压(伏),U为实际电压(伏);MN为电动机的额定转矩(牛·米)。

启步转矩的大小,主要取决于生产机械运动副的摩擦阻力,且与生产机械的技术状态、装配质量、轴承润滑状况、工作机构中残存加工产品的程度等因素有关。由于生产机械零件间静态摩擦系数通常大于动态摩擦系数,所以生产机械的启步转矩大于启动后的阻转矩值。

生产机械拖动轴的启步转矩可以简便的方法测定(图1)。测定时读取n次数值后取其平均值,再由图中公式计算求得,式中MR为由杠杆自身所形成的转矩。

图1 生产机械启步转矩的测定

绘制生产机械的机械特性

生产机械的机械特性Mjm=厂(ωm)是用以评价生产机械的启动条件和其拖动电动机的工作状况的。求取的方法可有以下几种:

利用经标定的直流他激电动机绘制

“标定”即要对拖动电动机进行损耗分析,测得其电枢电阻,并在保持激磁电流的条件下,测得不同转速时的空载损耗,且给出其铁损及机械损耗曲线。绘制生产机械的机械特性时,该机械由此标定的电动机拖动,使之以不同角速度(从0至1或1.1ωMN,ωMN为生产机械的额定角速度)旋转。试验中记录电枢电压Ua、电流Ia及角速度ωa

生产机械在每一转速下的阻转矩Mjm为:

农业机械电力拖动试验

式中 Md为直流电动机的电磁转矩(牛·米);MNL为直流电动机的空载转矩(牛·米),MNL=C·Ia.NL,Ia.NL为直流机的空载电枢电流(安),C为常数,可自直流机的空载试验求得。根据公式计算出在不同角速度下的生产机械的阻转矩,便可绘制其机械特性。

利用惯性运动曲线绘制

当拖动电动机在运转情况下,切断电源时,生产机械在运动系统的惯性作用下继续转动,待其储存的动能在克服系统旋转功率损失中消耗殆尽,生产机械遂停止,这个过程就是惯性运动过程,亦称为自制动过程。可在电动机的同轴上接装一台直流测速发电机,其电势正б于转速,以自记式伏特计在切断电源后,记录发电机的端电压,因端电压是与生产机械的角速度ωm相对应的,于是可绘制惯性运动曲线ωm=f(t),如图2,并根据此曲线绘出ξ=dωm/dt=f(t)。

图2 惯性运动曲线

因惯性运动方程为:

农业机械电力拖动试验

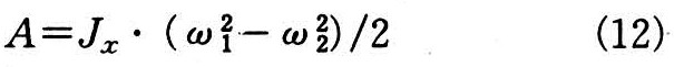
于是在已知生产机械的惯性矩J,并选定适当的б例常数,根据ξ=f(t)得到的ξ=f(ωm )曲线,就是生产机械的机械特性Mjm=f(ωm),如图3。式(3)中的M jm是因生产机械而异的,如为恒定、线性、风机型等。

图3 生产机械的机械特性

绘制生产机械的空载特性

生产机械仍由标定的直流电动机拖动,试验前要经半小时试运转,然后在保持电动机的激磁电流恒定的条件下,均匀调节其转速,在不同转速下测定电动机的端电压和电枢电流,然后计算空载损耗及空载阻转矩:

农业机械电力拖动试验

式中 PNL为电动机的空载损耗,即生产机械在空载时所需的功率(瓦);UT为电动机在不同转速下的端电压(伏);Ia为与UT相应的电枢电流(安);△p为电动机在对应不同转速下的总损耗(瓦),其中包括:·Ra为电动机的电枢电路铜损耗(瓦);△pMex+△pFe为电动机在对应的转速及激磁电流下的机械损耗及铁损耗之和(瓦);△pd为附加损耗(瓦);MjNL为生产机械的空载组转矩(牛·米);nNL为与PNL相对应的转速(转/分)。

图4 生产机械的空载特性

根据试验数据经计算,可绘制生产机械的空载特性,如图4所示。对于复杂的农业机械,尚需测定个别工作机构的空载特性,可由生产机械整体的空载特性减去断开该工作机构时测得的空载特性,求出该工作机构所消耗的功率及其阻转矩。

确定生产机械的惯性矩

生产机械的惯性矩指折合到电动机轴上的惯性矩,确定的方法有以下几种:

飞轮阻尼旋转法

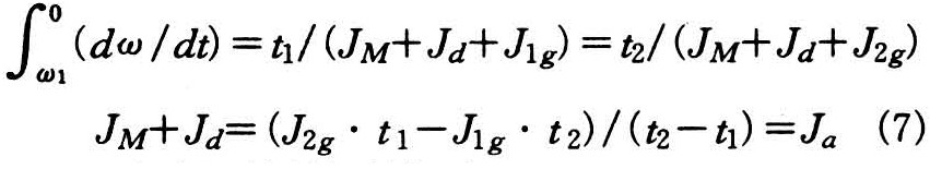
先要选定两个具有相同质量与形状的附加飞轮,它们的惯性矩分别为J1g与J2g,为确定生产机械的惯性矩,将它们分两次装在工作机械上,作两次惯性运动试验。试验时保证机组的空载阻转矩变化规划相同。电动机切断电源(Md=0),即进入惯性运动,此时拖动运动方程为:

农业机械电力拖动试验

式中 Mmj为拖动系统的静阻转矩(牛·米);JM为折合至电动机轴上的生产机械惯性矩(千克·平方米);Jd为拖动电动机的惯性矩(千克·平方米);Jg为折合至电动机轴上的附加飞轮惯性矩(千克·平方米);ω为电动机的角速度(1/秒);t为惯性运动时间(秒)。

当拖动生产机械分别带有第一个和第二个附加飞轮时,电动机转速从起始ω1至全部停止,测得拖动惯性运动时间为t1及t2。于是可得:

农业机械电力拖动试验

郎可得生产机械的惯性矩为:

农业机械电力拖动试验

式中 Ja为全机组的惯性矩。

重物降落法

在生产机械的驱动轮(半径为R,米)上缠绕绳索,绳索的自由端系以重物,为了确定生产机械的惯性矩,也要作两次加速试验,试验时所系重物质量分别为m1及m2,以产生大于阻转矩的恒定转矩(图5)。

试验时,放开重物,使在h距离内获得加速,两次试验相同,分别记录所需时间t1及t2。重物加速为:

农业机械电力拖动试验

机械回转部分折算为直线运动的质量(千克)为:

农业机械电力拖动试验

图5 重物降落法

生产机械的惯性矩即为:

农业机械电力拖动试验

自制动法

这是一种利用惯性运动曲线求取生产机械的惯性矩的方法。

①切线法。在生产条件下,一般用鼠笼型异步电动机拖动,获得空载损耗特性是有困难的,可采用这种近似方法确定惯性矩。在惯性运动曲线(图6)上选A点,过A点作曲线的切线AC,△t=t2-t1=B C。制动转矩恒定下,生产机械转速从额定降至零所经历的时间为惯性运动时间。A点储存的动能为,如制动转矩不变,生产机械于t2停止,△t即惯性运动时间,此时间内的机械损耗为Pj·△t/2,Pj为生产机组的机械损耗。因此机组的惯性矩为:

图6 惯性矩计算图(切线法)

农业机械电力拖动试验

式中 Mmj=Pj1,ξ1=ω1/△t,Mmj为生产机械的阻转矩(牛·米)。

为了提高试验结果的可信度,要在惯性运动曲线上选择几个点,求取平均值。在没有生产机械的机械特性时,损耗Pj可根据异步机相对于起始角速度ωs的轴功率P2求得。

图7 惯性矩计算图(面积法)

②面积法。利用惯性运动曲线及机组空载损耗曲线建立惯性运动试验的损耗特性PNL=ψ(t),如图7所示。从角速度ω1至ω2自制动时机组所储存的动能为:

农业机械电力拖动试验

此动能即消耗于克服机械损耗上,该损耗与损耗特性曲线和坐标轴所限定的面积(图中阴影部分)S成正比。因此

农业机械电力拖动试验

式中 ω1为惯性运动试验开始时的角速度(1/秒);ω2为惯性运动试验终了时的角速度(1/秒);S为面积(平方毫米);mp为功率轴的比例常数(瓦/毫米);mt为时间轴的比例常数(秒/毫米)。

惯性矩以GD2表示时,角速度须换算为转速,则

农业机械电力拖动试验

生产机械的惯性矩即为

农业机械电力拖动试验

式中 Jd为电动机的惯性矩(千克·平方米或牛·平方米)。

生产机械电力拖动的启动时间

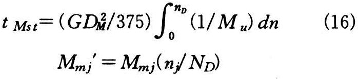
在选择拖动形式和电动机功率时,此启动时间有很大意义,在生产机械需要经常启动,如系统具有较大的飞轮惯性矩,即比较大时,启动时间就要加长,这样会引起电动机的个别部件发热,甚至破坏启动及保护装置的正常工作。此时间可用记录仪表求取,但求得的只是约略值,因此常用分析法求取。其计算公式为:

农业机械电力拖动试验

式中 Mu=MD-Mmj′为剩余转矩,即使电动机产生加速的转矩(牛·米);Mmj′为生产机械折合到电动机轴上的转矩(牛·米);MD为电动机轴所供转矩(牛·米);ND为电动机在额定负载下的转速(转/分);nj为生产机械的转速(转/分)。

以上计算亦可由作图法求得tMst,即首先作出电动机的机械特性MD=f(n)及生产机械空载特性Mmj′=f(n),二者相减可得Mu=f(n),在已知的情况下,可按

农业机械电力拖动试验

绘出曲线,该曲线在n-nN速度限内,与坐标轴所限定的面积St即正比于tMst