登录| 注册    
收藏  点赞 

太阳能热水器

利用太阳辐射将水加热、贮存并送至用户的装置,又称太阳能热水系统。热水器由集热器、贮水箱及冷、热水管组成。集热器是吸收太阳辐射并向热媒传递热量的部件。按集热方式分为平板型及聚光型;按构造分为真空管式、热管式及蜂窝式。太阳能热水器属低温范围,集热器多为平板型,向阳面设透明盖板,背后衬垫隔热材料(图1),涂黑表面吸收通过透明盖板的太阳辐射,温度升高

利用太阳辐射将水加热、贮存并送至用户的装置,又称太阳能热水系统。

热水器由集热器、贮水箱及冷、热水管组成。集热器是吸收太阳辐射并向热媒传递热量的部件。按集热方式分为平板型及聚光型;按构造分为真空管式、热管式及蜂窝式。太阳能热水器属低温范围,集热器多为平板型,向阳面设透明盖板,背后衬垫隔热材料(图1),涂黑表面吸收通过透明盖板的太阳辐射,温度升高,并将流道中的水加热。

图1 平板型集热器构造示意

太阳能热水器按水流动方式分为循环式、直流式及整体式。循环式又分为自然循环式及强制循环式。图2是自然循环式的一种,集热器吸收太阳辐射,水温高于贮水箱中水温,二者间密度差形成热虹吸压头而对流循环。自然循环式结构简单,运行可靠,贮水箱底需高于集热器顶0.3~0.5米。在室外需保温,且需考虑建筑布置及屋顶荷重等问题。强制循环式靠泵使水在集热器和贮水箱间循环,当集热器出口水温大于贮水箱一定温度时,由系统自动控制装置启动水泵运行。

图2 自然循环式热水系统

直流式分为定温放水型及热虹吸型。图3中集热器出口装有按热水要求调整好温度值的电接点温度计,它通过控制器操纵电动变流量阀开、闭或改变流量,使出口水温始终保持在设定值。图4中补水箱水位与集热器出口上升管最高位置一致。集热器吸收太阳辐射、水温升高,形成热虹吸压头,热水经上升管流入贮水箱,冷水自动经下降管补入。

图3 定温放水型直流式热水系统

图4 热虹吸型直流式热水系统

整体式或称闷晒式(图5)是将集热器和贮水箱合一,水在容器内不流动。太阳辐射加热整个容器之水,傍晚即可使用。这种装置结构简单,体积小并且成本低廉,适于家庭使用。

设计太阳能热水系统时,考虑集热器每天每平方米可供热水量(水温为45~50℃)约为100升,故大型系统集热器应采用并、串联阵列,以保持流量均匀分配。贮水箱保温层厚度以20~50厘米为宜。集热器倾角可近似等于当地纬度,结冰季节夜间要将集热器放空或采用防冻介质的复合回路系统,以免集热器冻裂。

图5 双筒整体式热水器

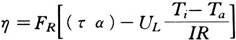
热效率是衡量集热器热性能的主要指标。任何集热器在一定的稳定条件下,单位时间内获得太阳能最多,热损失最小,则热效率最高。集热器的瞬时热效率通常用下式表示:

太阳能热水器

式中 η为集热器的瞬时热效率(%);FR为热转移系数;τ为盖板的透过率(%);α为吸热板的吸收率;UL为集热器的热损系数(瓦/米2·℃);Ti为进水温度(℃);Ta为大气温度(℃);I为太阳辐射强度(瓦/米2);R为集热器相对于地面的几何系数。

FR是和集热器采用材料的性能、结构以及水的传热有关的一系数。盖板多采用透明度高的玻璃或塑料板。(τ α)愈大,吸收的能量也愈多,为增大α值,常采用特殊的选择性涂料。为减少热量损失,集热器的四周和底部通常采用一定厚度的绝热材料加以保温,如矿渣棉、玻璃棉、珍珠岩、锯末、聚苯乙烯等。太阳辐射强度以垂直于地面的值为准。

公式中的FR、τ、α、和UL近似常数,而I、Ti和Ta则是变化的,因而上式可用近似直线表示,称为集热性的特性曲线。图6是5种不同结构热水器的特性曲线。曲线1是一种无盖面的集热器,斜率很大,仅适用于夏季,尤其适合加热游泳池水。曲线2是有一层玻璃盖面,吸热板采用一般黑漆的集热器,它适合在5~10月间生活用热水。曲线3是有一层玻璃盖面,吸热板采用选择性涂料的集热器,适合于生活用热水,但时间可更长一些。曲线4是有二层玻璃盖面,吸热板采用选择性涂料的集热器,它适用于寒冷地区。曲线5是一种真空管集热器,在冬季也能使用。

图6 各类集热器的特性曲线

集热器特性曲线是由各集热器类型结构所决定的,因而和成本费有关。所需热水器则可根据用途和集热器特性曲线加以选用。