登录| 注册    
收藏  点赞 

土地利用工程综合效益分析

从经济、生态和社会三方面对某项土地利用工程效益进行的综合比较与分析评价。在三方面效益分析的基础上,根据各工程项目的性质、特点以及不同时期、不同地区对各类土地开发利用的要求,进行全盘考虑、综合评价。经济效益分析是用投入产出之比评价工程项目的经济效果。产出指兴建该土地利用工程,所新增的经济效益或减免的经济损失;投入指工程的基本建设投资和运行费用。效益分析有静态分析与动态分析两种方法。

从经济、生态和社会三方面对某项土地利用工程效益进行的综合比较与分析评价。在三方面效益分析的基础上,根据各工程项目的性质、特点以及不同时期、不同地区对各类土地开发利用的要求,进行全盘考虑、综合评价。

经济效益分析

是用投入产出之比评价工程项目的经济效果。产出指兴建该土地利用工程,所新增的经济效益或减免的经济损失;投入指工程的基本建设投资和运行费用。效益分析有静态分析与动态分析两种方法。两者的区别在于静态分析没有考虑资金的时间价值。所以动态分析比静态分析更具有真实性,而静态分析相对简便,易于掌握,对一些小型的、工程服务年限较短的项目具有一定的使用价值。

静态分析方法

是以工程项目会计年度中的当年实际发生值为依据进行评价的方法。主要有四项指标,即单位投资产值增长量,投资收益率,投资回收期,平均增长速度。

单位投资产值增量,一般以百元投资,平均每年增长的产品产值(或总收入)计算。

土地利用工程综合效益分析

平均每年农产品增加总产值包括农、林、牧、副、渔各业生产产品产值及土地利用工程实施后,有关项目的产值。按不变价格计算。

投资收益率,即投资效果系数。一般以平均每年增加纯收入(或盈利)与投资总数之比表示。

土地利用工程综合效益分析

纯收入是扩大再生产和提高农民收入的资金来源,土地利用工程的关键是增加单位面积的土地收入额,所以该指标在评价经济效益中有重要作用。纯收入是总收入扣除生产费用后的余额。

投资回收期,是表示与基础年相比平均每年新增加纯收入(或盈利)需经过多少年后,才能回收原投资额的年限。实际上它是投资收益率指标的倒数。

土地利用工程综合效益分析

平均增长速度(平均递增率),反映项目建成后的实施时期内产值(或产量、收入)平均每年的增长速度水平。

土地利用工程综合效益分析

式中为平均递增率;an为工程实施后终期达到产值(或产量、收入)水平;a0为工程实施前的产值(或产量、收入)水平;n为年限。

动态分析方法

是考虑投入资金与工程效益因时间的延伸而产生的差值变化,而采用的评价方法。评价所采用的指标有净现值、益本比、内部收益率和投资回收期。

净现值(NPV)法:即在计算期内,把投入和产出按同一贴现率折算到起始年的现值,以便在同一基础上进行比较,即投资项目效益现值与费用现值之差:

净现值(NPV)=效益现值-费用现值

益本比(B/C)法:主要反映投资项目效益现值与费用现值的累计数之比。当比率大于1时,收益大于费用,有利,该项目可行;小于1,无利,不可行。

土地利用工程综合效益分析

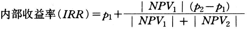
内部收益率(IRR)法:是求出一个适当的贴现率,使现金流入现值总和正好等于现金流出现值总和,也就是使净现金流量贴现累计值为零。这时的贴现率叫做内部收益率。它反映出在项目计算期内投入全部资金可能取得的最大盈利率。把求得的内部收益率与基准收益率进行比较,大于基准的收益率,可认为项目可行。内部收益率越大,效益越高。内部收益率的计算,需要通过对净现值的反复计算和矫正,使两次算出来的净现值正好处于一正一负时,再运用线性插值公式求得。

土地利用工程综合效益分析

式中 p1为较低贴现率;户2为较高贴现率;NPV1为用户1算出的净现值;NPV2为用p2算出的净现值。动态投资回收期:将投资和净效益分别贴现到开始投资的那一年,并逐年计算各年净效益现值。找出净效益现值累计额接近和刚超过投资现值时的年数,再用插值法求其投资回收年限。

生态效益分析

土地利用工程的生态效益是指实施工程范围内的土地生态系统受良性控制和系统功能得以增强的程度。据此,分析土地利用工程生态效益主要是通过以下具体指标的评价来进行的。

土地治理率:在需治理的土地面积中,已治理的土地面积比例。

土地利用工程综合效益分析

林地覆盖率:林地面积占土地总面积的比例。

土地利用工程综合效益分析

在此指标分析的基础上,还可以通过林地本身的生态效益以及林地对其他各类农用地的保护、促进作用的评价进一步分析土地利用工程的生态效益。

草被覆盖率:人工草场或保护草地面积占开发(或治理)土地面积的比例。

土地利用工程综合效益分析

良田面积增长率:实施工程后良田面积比实施工程前增加的比率。

土地利用工程综合效益分析

该项指标中的良田是指除灌排条件尚好外,其土、热、肥、气状况皆佳,并由此达到良性循环,获得高产的农田。这是一项相当重要的反映土地利用工程生态效益的综合指标。

水土流失面积减少率:开发(或治理)后水土流失面积比开发(或治理)前减少的比率。

土地利用工程综合效益分析

社会效益分析

是指土地利用工程的实施对社会发展所起的促进作用。目前对这一问题的认识以及分析方法还没有统一完善,在中国一般常用以下六种指标进行分析:

人均占有农用地面积:工程项目实施区域农用地与总人口之比。

土地利用工程综合效益分析

此指标可比较出工程实施前后及不同时期,人均拥有农用地的面积。另外,农用地可为总农用地,也可以分别为耕地、林地、草被、水面等各类用地。

土地垦殖系数:指开发利用土地面积占土地总面积的比例。

土地利用工程综合效益分析

此指标从开发利用土地资源的程度高低体现了社会发展的水平。

人均拥有农产品增长率:工程实施后农产品产量比工程实施前增长的比率。

土地利用工程综合效益分析

温饱率:工程实施后项目区达到国家温饱水平的人数比工程实施前增长的比率。

土地利用工程综合效益分析

此指标对于贫困地区分析土地利用工程的社会效益极为重要。

人均收入水平:工程项目区收入(可为总收入、纯收入、净收入……)与总人口之比。

土地利用工程综合效益分析

就业增长率:指因实施某项土地利用工程后,就业人数比实施工程前增长的比率。

土地利用工程综合效益分析

衡量土地利用工程社会效益的指标还可以有很多,限于测试手段分析方法,许多指标都还难以准确求取其结果,只能根据实际情况决定。

土地利用工程的经济效益,生态效益和社会效益三者之间既互相包容又相互对立。因此,在进行综合效益分析时,需根据具体情况,首先分别三个效益对某项工程进行分析,然后将三者结合起来,通过综合分析、方案比较,得出最优的综合效益分析结果。由于土地利用工程效益主要表现于所受益的农业产量增加,而农业产量在无该工程时,有的因耕作技术等的提高,产量也可能有一定增加;有的则会因水土流失加剧等原因,产量逐年减少。因而土地利用工程的效益分析,一般来说,均应采用修建工程前后对比或有工程区和无工程区之间对比的结果才比较合理。