登录| 注册    
收藏  点赞 

温室强制通风

利用风机运转造成室内外空气压差的通风措施,包括向室内送气的正压通风与向室外抽气的负压通风。强制通风量,应能充分满足温室设计通风量的要求。正确选择风机的类型、大小及台数是十分重要的。风机的静压性能曲线与风机的叶片类型、制造工艺等有关,一般由厂家提供。在密闭温室墙上安装风机进行强制通风时,进气口与风机出口均在大气压下

利用风机运转造成室内外空气压差的通风措施,包括向室内送气的正压通风与向室外抽气的负压通风。强制通风量,应能充分满足温室设计通风量的要求。正确选择风机的类型、大小及台数是十分重要的。风机的静压性能曲线与风机的叶片类型、制造工艺等有关,一般由厂家提供。

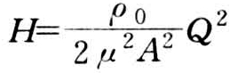
在密闭温室墙上安装风机进行强制通风时,进气口与风机出口均在大气压下,该通风系统的阻力特性是一条二次曲线。其阻力表达式为:

温室强制通风

式中 H为阻力(帕);ρ0为室外干空气密度(千克/米3);μ、A分别为进气窗孔流量系数与过流面积;Q为风机在静压为H(帕)时的流量(米3/秒)。

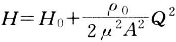
将上述函数关系绘制在以流量Q与阻力损失H组成的直角坐标系图上,就可得到该通风系统流量阻力曲线。若通风系统进排气空间的压差为H0(帕)时,则通风系统的阻力由下式确定:

温室强制通风

在选择风机时,应以温室的设计通风量与该通风量下通风系统的阻力损失作为基础,增加10~20%不可预计的安全阻力,在直角坐标系图上作出管路阻力曲线与风机的静压特性曲线,并确定其工作点。以此工作点参数作为选择风机型号和台数的依据。