登录| 注册    
收藏  点赞 

温室通风

使温室内外气体进行交换的措施。按照内外空气压差形成的原因不同,可分为温室自然通风与温室强制通风。温室通风的主要目的是降低室内温度和相对湿度,补充CO2,排除有害气体等。温室通风设施在设计与运行中,应能充分满足温室作物生长发育对温度、CO2浓度、相对湿度及降低有害气体浓度到规定下限所需的通风量的要求。室内气体流速,一般控制在0.3~0.5米/秒为宜。在高温、高湿、高光强下,不超过0.5~1.

使温室内外气体进行交换的措施。按照内外空气压差形成的原因不同,可分为温室自然通风温室强制通风。温室通风的主要目的是降低室内温度和相对湿度,补充CO2,排除有害气体等。温室通风设施在设计与运行中,应能充分满足温室作物生长发育对温度、CO2浓度、相对湿度及降低有害气体浓度到规定下限所需的通风量的要求。室内气体流速,一般控制在0.3~0.5米/秒为宜。在高温、高湿、高光强下,不超过0.5~1.0米/秒。气流分布均匀,冬季避免冷空气直吹向植物生育层内。另外,要求通风系统操作简便、可靠,投资和运行费用较低。

温室换气率设计

指单位面积、单位时间内的换气量。有时,温室通风换气量按单位时间内整个温室空间所换气的次数计。为维持一定室温的换气率由下式确定:

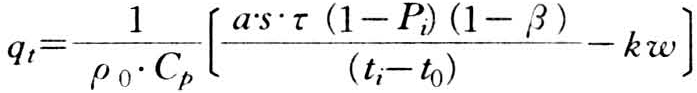
温室通风

式中 qt为设计换气率(米3/米2·分);ρ0为设定室外气温绝对温度T0(K)下的干空气密度(千克/米3);Cp=1焦/千克·℃,为干空气定压比热容;a为温室受热面积修正系数取1.05~1.2;s为设计室外太阳辐射强度(千焦/米2·分);τ为温室覆盖面透光率,取0.5~0.75;Pi为室内作物与地面反射率,约为0.1;β为温室波纹比,即温室蒸腾蒸发潜热与室内净太阳辐射热之比,一般β取0.4~0.65;ti、t0分别为室内外设计温度(℃);K为温室外表面传热系数(K=0.03~0.45千焦/米2·分·℃);w为温室散热比,即温室外表面积Ag与地面积As之比。在一定的太阳辐射强度下,温室内外温差△t与换气率qt间呈双曲线函数关系。在满足内外温差下,换气率取较小值比较经济。温室内空气的CO2浓度,随日出后作物光合作用的进行而不断降低。为了维持室内必要的CO2浓度,保持光合作用的正常进行,需要提供必要的换气率qc,以补充室内CO2的不足。qc由下式确定:

温室通风

式中 qc为换气率(米3/米2·分);P为作物平均光合强度(克/米2·分);F为作物叶面积指数(F=2~5);rt为温室土壤床面在温度t时的呼吸强度;rt=r0·3t/10(克/米2·分);t为土温(℃)、r0为土温0℃时土壤呼吸强度,一般中等肥沃的土壤为6×10-4(克/米2·分);C0为室外空气二氧化碳浓度,一般为0.6(克/米3);Ci为室内设定的CO2浓度(克/米3)。为维持室内外一定的CO2浓度差△C与必要的换气率qc仍为一双曲线函数关系,利用通风换气来提高室内CO2浓度也是有一定限度的,其效率也随换气率的增高而显著降低。

温室通风量设计

温室通风设计时,应取维持一定室温的必要换气率qt与维持一定二氧化碳浓度的必要换气率qc中的大者作为温室通风的设计换气率q,温室设计通风量Q(米3/小时)为设计换气率q与温室地面积As的乘积,即:

Q=60q·As