登录| 注册    
收藏  点赞 

温室自然通风

利用温室内外温差与风力作用造成内外空气压差的通风措施。自然通风由设置通风窗实现。通风窗在热压、风压或热压与风压同时作用下的实际通风量,应能充分满足设计通风量的要求。具有侧窗和天窗两层窗的温室在内外温差造成的热压作用下的通风流向如图1所示。 图1 热压通风 因风力造成对建筑物外表面的压力,称为风压。风向一定时,某一确定部位的风压与风速动压成正比,由风压造成的通风流向如图2所示。

利用温室内外温差与风力作用造成内外空气压差的通风措施。自然通风由设置通风窗实现。通风窗在热压、风压或热压与风压同时作用下的实际通风量,应能充分满足设计通风量的要求。具有侧窗和天窗两层窗的温室在内外温差造成的热压作用下的通风流向如图1所示。

图1 热压通风

因风力造成对建筑物外表面的压力,称为风压。风向一定时,某一确定部位的风压与风速动压成正比,由风压造成的通风流向如图2所示。

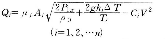
在实际温室应用中,往往是热压与风压同时作用,在多层窗中进行通风。在热压与风压同时作用时,多层窗的换气是由各窗孔的位置、形状、面积、风速及内外温差决定的。整个温室的通风量是指所有窗孔总进气量或总的出气量。如图3所示,多层窗在热压与风压共同作用下,各窗孔的流量系数、过流面积、风压系数分别为μi、Ai、Ci,则通过各窗孔的流量Q i,由下式确定:

图2 风压通风

温室自然通风

式中 Qi为热压与风压使空气通过各窗孔的流量;μi为侧窗、天窗的流量系数;Ai为侧窗、天窗过流断面面积(米2);P1x为第一窗孔的余压,即在热压作用下内外空气的压差;ρ0为室外干空气密度,ρ0(千克/米3);Ti、T0分别为室内、外空气的绝对温度(K);hi为第i个窗孔至某一共同基面(如温室地面)的垂直高差(米);g为重力加速度,g=9.81(米/秒2);△T为内外温差(℃);V为室外设计风速(米/秒2)。

图3 热压与风压多层窗通风

以上共n个方程,但有Q1~Qn及P1x,即n+1个未知数。为了能得到唯一解,还需加一方程,即在稳定通风下,进出气量必然相等,即Qi=0。由此求解包含n+1个方程的方程组即可求得第一窗孔余压P1x,进而可代入各式,可求得各窗孔的进气或出气量。计算结果,根号中为正值时,该窗孔为出气;根号中为负值时,应取其绝对值开方,而Qi取负值,表示该窗孔为进气。各窗孔总的进气量或出气量即为在热压与风压同时作用下多层窗的通风量。

温室设置通风窗进行自然通风时,进气窗宜设在迎风面位置较低处,出气窗设在背风面位置较高处。在运用中,冬季及早春季节可适当开放天窗换气,防止从侧窗、门处进入扫地冷风。其余季节,可开启天窗、侧窗调节温度与补充CO2。当天窗、侧窗全部开启仍不能满足温度要求时,可考虑采用湿帘风机降温系统解决(见温室降温)。