登录| 注册    
收藏  点赞 

侧推装置

能产生侧向推力,帮助渔船转向或横移的装置。种类 主要有喷水式、舵桨式和导管桨式几种。渔船使用的主要是导管桨式。喷水式是用轴流泵通导管至水下舷侧喷水,或在船首底部开一凹坑,设置喷头,以15°~20°的俯角,可转至任何方向喷射水柱。喷头转向舷侧起侧推作用,若方向朝后,则起辅助推进作用。舵桨式是在船首或尾部设一直立圆筒,直通船底,内装一带有动力的螺旋桨,使用时沿筒伸出船底,可作360°回转。

能产生侧向推力,帮助渔船转向或横移的装置。

种类 主要有喷水式、舵桨式和导管桨式几种。渔船使用的主要是导管桨式。喷水式是用轴流泵通导管至水下舷侧喷水,或在船首底部开一凹坑,设置喷头,以15°~20°的俯角,可转至任何方向喷射水柱。喷头转向舷侧起侧推作用,若方向朝后,则起辅助推进作用。舵桨式是在船首或尾部设一直立圆筒,直通船底,内装一带有动力的螺旋桨,使用时沿筒伸出船底,可作360°回转。当面向船舷时产生侧向推力,面向前后时产生前进或后推力。导管桨式是有一动力传动的螺旋桨,装于船的首、尾部水线下,横向贯穿船体的圆筒中。当螺旋桨转动时,水流从导管的一侧喷射出去,产生侧向推力,通常简称侧推装置。

结构 主要是导管桨式侧推装置的结构,螺旋桨有定螺距和可调螺距之分,采用定螺距桨的侧推装置,必须改变原动机的旋转方向,才能使侧推力换向;采用可调螺距桨的,可以在不改变原动机旋转方向的条件下,改变桨叶的螺距角来改变侧推力的大小和方向(见图)。

导管桨式侧推装置结构示意图

调距桨所用动力主要有液压和电动两种。液压传动由于油马达体积小,可无级变速,又可在水下工作,并能直接连接螺旋桨。其结构紧凑简单,但需专用的液压供油和操作系统;电动的至少需经一对锥形齿轮减速,其电动机必须装在水线以上。

安装位置 为了船舶安全,首侧推装置必须装于船首防撞舱壁的后面。若安装位置过分靠近首尾端,则因筒口附近船体的纵向线型过分弯曲,将显著影响装置的性能和船的阻力性能。一般筒体长度L与筒径D之比,以3~3.5为佳。为了满足适当的筒体相对长度L/D,亦不能装在首尾过分瘦削的位置。一般首推装置均装在1/10船长以后。导筒轴线距离龙骨和载重水线的位置,应保持一个筒径的距离,至少0.76筒径,以免因风浪和船身运动而吸入空气。

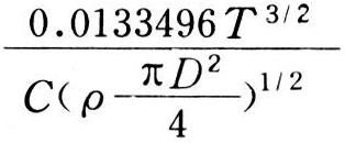
推力与功率的确定 一般按船的水线以上侧向受风面积计算风力对船的横向力矩,按船的水下侧面积和潮流流速计算潮流对船的横向力矩,根据所要求的船体转动速度计算转动时的水动力矩。将以上三项的合力矩被侧推装置与船体转动中心间的距离相除,即得所需总推力。侧推装置在静止状态产生的总推力,是由螺旋桨推力T和筒体进水端一侧船体表面力T两部分组成。其分配比例与筒口形状有关。如设计得好,将筒口作成圆缘,使水流进入简体不产生分离现象,则在进水端的水流因面积扩大、压力下降而产生负压(吸力),也就等于增加了出口端的推力。最理想的设计可以达到各占一半的程度。实际上水流带有各种损失,推力的分配是不相等的。以实测发现螺旋桨推力T与总推力T之比,约为0.52~0.87。求得所需总推力后,可按下式估算所需功率:

侧推装置

式中 T为总推力(千克);D为导筒直径(米);ρ为海水密度(=104.6千克·秒2/米4);C为品质因素,一般取0.65~1,最大取2。求得功率后,按设计导管螺旋桨的方法设计螺旋桨。对定距桨的桨叶,一般采用对称剖面的宽叶梢桨叶。

用途 使用侧推装置能改善渔船低速航行与作业时的操纵性和转向定位能力。一般,渔船在船首部装侧推装置的较多,也有在首尾装侧推装置的。当首尾推力方向相同时,可以使船横向平移,当首尾推力方向相反时,可以减少船的回转半径或进行原地转向。灯光围网作业的灯船,必须装首推装置,以便在静止灯诱时,能尽量维持船体不动。当船被围在网圈内时,能就地回转或以较小的回转角驶出网圈。围网渔船也常在首尾各装一侧推装置,使在舷侧起鱼、起网时,能横向移动,始终保持船身和水中围网的正确位置,以抵消风浪潮流对船网的不利影响。流钓渔船也常装侧推装置,以提高低速起钓和起放流网网列时的操纵性能。