登录| 注册    
收藏  点赞 

单位捕捞努力量渔获量

一个标准捕捞努力量的平均渔获量。如渤海秋汛对虾渔业曾以标准对虾机帆船拖网为捕捞努力量单位,渔汛内机帆船拖网对船平均产量就相当于单位捕捞努力量渔获量,通常用CPUE表示。它作为相对资源量指标或资源分布密度指数,在渔业资源评估研究中广泛应用。 渔获量与资源量的关系可用一个简单的关系式表示: 单位捕捞努力量渔获量 式中 C为渔获量;为平均资源量

一个标准捕捞努力量的平均渔获量。如渤海秋汛对虾渔业曾以标准对虾机帆船拖网为捕捞努力量单位,渔汛内机帆船拖网对船平均产量就相当于单位捕捞努力量渔获量,通常用CPUE表示。它作为相对资源量指标或资源分布密度指数,在渔业资源评估研究中广泛应用。

渔获量与资源量的关系可用一个简单的关系式表示:

单位捕捞努力量渔获量

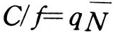
式中 C渔获量平均资源量F捕捞死亡系数。假如F捕捞努力量f)成比例,Fqfq为可捕系数,故有:

单位捕捞努力量渔获量

这样,当q为常数时,单位捕捞努力量渔获量(C/f)就可以作为一个指数来表示资源量。如用多年的CPUE资料表示资源的年变化趋势,用CPUE及相应的捕捞努力量资料计算持续产量最大持续产量(见,用连续两个时间单位或多个时间单位的CPUE资料作为相对资源量计算捕捞死亡系数(见等。

CPUE的精度明显受到可捕系数q的影响。如鱼群分布特征、资源密度、渔具性能等因素的变化均能引起q的变化而影响到CPUE。因此,只有在可捕系数q相等或相近的条件下,CPUE作为相对资源量指标才为可靠。