登录| 注册    
收藏  点赞 

平均资源量

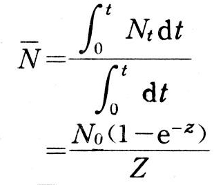
某一时期内种群资源量的平均值。生物种群的资源数量是一个连续变化的变量,对于某一时期内(如一年)的平均资源量通常用瞬时平均值表示,计算公式为: 平均资源量 式中 平均资源量()相当于某一期间开始时和结束时的资源量(N0,N)之差与总死亡系数(Z)的比值。在有捕捞的情况下,渔获量(C)和捕捞死亡系数(F)的比值也可定义为平均资源量

某一时期内种群资源量的平均值。生物种群的资源数量是一个连续变化的变量,对于某一时期内(如一年)的平均资源量通常用瞬时平均值表示,计算公式为:

平均资源量

式中 平均资源量()相当于某一期间开始时和结束时的资源量(N0N)之差与总死亡系数Z)的比值。

在有捕捞的情况下,渔获量C)和捕捞死亡系数F)的比值也可定义为平均资源量,即:

NC/F

平均资源量

因此,平均资源量是种群动态和渔获量方程中一个重要的理论参量。它与资源量(N)的关系表现为:在极端情况下,当Z→0,N0,当Z→∞时,0;在一般情况下,N