登录| 注册    
收藏  点赞 

亲体与补充量关系模式

亲体与补充量关系常用的表达式有Ricker型与Bererton-Holt型。Ricker模式 里克(W.E.Ricker,1954)提出。其表达式为: R=αpe-式中 R为补充量;P为亲体量;α、β为参数,可由以下直线方程求得: 亲体与补充量关系模式 当R和用同一计量单位时

描述种群亲体数量与补充量之间关系的数字表达式。用于估计一个种群的最大补充量、最适亲体数量以及最大持续产量,并据此制定相应的管理决策。

补充量R)对亲体量P)的关系曲线叫补充曲线。它具有以下特点:①曲线通过原点,即没有亲体就没有补充量;②曲线不会在群体水准较高时下降到横轴,即在高密度时繁殖不会完全消失;③补充量在亲体达到一定水平以前一定要超过亲体量,否则亲体不能繁衍;④补充率(R/P)随亲体的增加而下降。

亲体与补充量关系常用的表达式有Ricker型与Bererton-Holt型。

Ricker模式 里克(W.E.Ricker,1954)提出。其表达式为:

Rαpe

式中 R补充量P亲体量αβ为参数,可由以下直线方程求得:

亲体与补充量关系模式

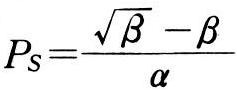
R同一计量单位时,也可写成:

RPe(1-/)

式中 Pr为时间替换丰度,可由Pr=logeα/β求得;a为参数,由a=logeα求得。

里克模式的最大补充量为:

亲体与补充量关系模式

产生最大补充量亲体量为:

亲体与补充量关系模式

适合Ricker型关系的补充曲线如图1。图中曲线与对角线相截的点是种群平衡状态下亲体与补充量的水平,虚线表示最大持续产量轨迹,在同一补充体制下可以有不少不同的曲线。

图1 Ricker型补充曲线

Ricker模式的最大持续产量由下式求得:

亲体与补充量关系模式

获得最大持续产量的亲鱼量由下式求得:

亲体与补充量关系模式

P代入Ricker模式就得到最大持续产量所需的补充量

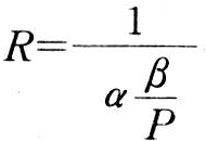
Beverton-Holt模式 贝弗顿—霍尔特(R.J.H.Beverton;S.J.Holt,1957)提出,其表达式为:

亲体与补充量关系模式

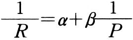
式中 R补充量P亲体量αβ为参数,可由以下直线方程求得:

亲体与补充量关系模式

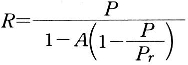
当R和P用同一计量单位时,也可写成:

亲体与补充量关系模式

式中 A=1-βPαA

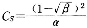
适合Beverton-Holt型的补充曲线如图2。图中每一曲线所标的数字表示不同的αβ或A值,虚线为最大持续产量轨迹。它与Ricker曲线不同之处是:补充量的极大值是一个渐近值;亲体密度小于替换值时,补充量不超过替换线;最大持续产量轨迹是一条直线而不是曲线。

图2 Beverton-Holt型补充曲线

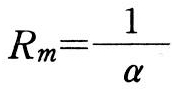
Beverton-Holt模式的最大补充量为:

亲体与补充量关系模式

最大持续产量

亲体与补充量关系模式

最大持续产量所需的亲鱼量为:

亲体与补充量关系模式

补充量为:

亲体与补充量关系模式