登录| 注册    
收藏  点赞 

网衣增(减)目(gaining or losing of net-ting)

网衣在编结或剪裁时,使其横向目数增加或减少的工艺总称。运用增(减)目,可使网衣形成所需要的形状。目前中国大部分群众渔业的网具,其网衣增(减)目是用手工编结方法形成;国营渔业的网具大多用机结网片剪裁而达到增(减)目目的。手工编结网衣增(减)目的方法有挂目增目、并目减目、单脚减目和飞目减目。前两种一般适用在网衣中间进行

网衣在编结或剪裁时,使其横向目数增加或减少的工艺总称。运用增(减)目,可使网衣形成所需要的形状。目前中国大部分群众渔业的网具,其网衣增(减)目是用手工编结方法形成;国营渔业的网具大多用机结网片剪裁而达到增(减)目目的。

手工编结网衣增(减)目的方法有挂目增目、并目减目、单脚减目和飞目减目。前两种一般适用在网衣中间进行,后两种一般适用于网衣侧边进行(图1)。仅在网衣一个侧边进行增(减)目,则网衣呈直角梯形;在网衣两侧边以同一方法进行增(减)目,则呈正梯形;网衣一侧边为增目,另一侧边为减目,则呈斜梯形;如增(减)目在网衣中间进行,循着纵目方向可以形成一道或数道增(减)目线。道数越多,网衣的展开形状越趋于扇形,一般取4道或6道编织。每道增(减)目的总目数对网衣纵向节数的比率称为增(减)目周期。增(减)目也可在编结一定间隔纵向目数后,在同一横列上每隔若干横目增(减)1目,这主要应用于网身的编结中。

图1 手编网衣增(减)目

矩形网片可通过剪裁方法形成所需要的形状,即按一定规律剪断目脚,以达到增(减)目的目的。网片经剪裁后,其边缘出现边旁、单脚或宕眼三种基本形式。剪裁方法有下列四种:①边旁剪裁(N)。沿网结外缘剪断纵向相邻两根目脚,对网衣横向目数无增(减);②宕眼剪裁(T)。沿网结外缘横向剪断两相邻的目脚,只增(减)网衣横向目数,对网衣纵向目数不变;③单脚剪裁(B)。沿网结外缘剪一个单脚,网衣纵、横向各增(减)半目;④混合剪裁。交替进行边旁、单脚或宕眼剪裁的工艺总称。经全单脚或混合剪裁,网片剪边形成的斜度称为剪裁斜率(R),用网片的纵向目数比横向目数的最简约数表示。其基本形式有边旁和单脚剪裁、宕眼和单脚剪裁、边旁和宕眼剪裁,后一种形式一般不采用。在有规律的混合剪裁中,每次重复采用前两种形式之一的排列组合,称为剪裁循环(C)。

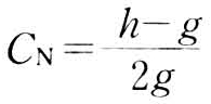
当网片纵向目数大于横向目数时,采用边旁和单脚剪裁循环(CN)。可用下式表示:

网衣增(减)目

式中 h为每个循环组的纵向目数;g为每个循环组的横向目数;分子表示边旁(N)数;分母表示单脚(B)数(图2a)。

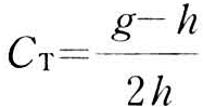
当网片纵向目数小于横向目脚时,采用宕眼和单脚剪裁循环(CT)。可用下式表示:

网衣增(减)目

式中 分子表示宕眼(T)数;分母表示单脚(B)数(图2b)。

图2 网衣剪裁循环

在混合剪裁中,使一片网衣剪裁形成的两个侧边的剪裁循环形式反向相同,称为对称剪裁。为剪裁工艺上的方便,进行对称剪裁的网片纵向目数多带有半目。它适用于对称形网具的网衣剪裁,可以提高网片利用率,降低网材料消耗,节省剪裁时间。

为使边旁和单脚混合剪裁达到对称,其必要条件是开剪为一个边旁(N),终剪为一个单脚(B);中间的边旁和单脚要排列成对称形式。为使宕眼和单脚混合剪裁达到对称,其必要条件是开剪为一个边旁(N),终剪为3个单脚(3B),中间的宕眼和单脚排列成对称形式。