登录| 注册    
收藏  点赞 

现存资源量

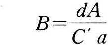
在特定时间内,栖息于某一渔业水域中某类资源或种群的生物量。是确定可捕量,进行渔业管理决策的基础。测定方法主要有以下几种。拖网扫海面积法根据拖网单位面积内的渔获量或其他指标(如卵子、仔鱼数量等)估算资源绝对数量(B),计算公式为: 现存资源量 式中 d为资源密度指数(如单位时间渔获量);A为总面积;a为单位时间扫海面积;C′为可捕率。此法主要用于栖息于底层和近底层渔业种类资源量的估计。

在特定时间内,栖息于某一渔业水域中某类资源或种群的生物量。是确定可捕量,进行渔业管理决策的基础。测定方法主要有以下几种。

拖网扫海面积法

根据拖网单位面积内的渔获量或其他指标(如卵子、仔鱼数量等)估算资源绝对数量(B),计算公式为:

现存资源量

式中 d为资源密度指数(如单位时间渔获量);A为总面积;a为单位时间扫海面积;C′为可捕率。此法主要用于栖息于底层和近底层渔业种类资源量的估计。

声学评估法

利用水声学原理和探鱼技术,估算资源绝对数量。即以走航式的调查方式,由回声探鱼仪和回声积分仪观察、记录鱼群的回声资源量指数(回声映象积分读数,简称M值),网具试捕取样确认种类和群体组成等,然后根据资源量换算系数(C值)计算出资源量(P),计算公式为:

P=CM

此法较适用于中上层鱼和有鳔鱼类,70年代以来在世界渔业资源数量调查中已广为采用。

世代分析法

包括有效种群分析(VPA)和波普的世代分析法。此法分析结果能提供研究对象历年各年龄组资源量数据表,是评估资源和捕捞现状,预测资源发展趋势,确定现存资源量的重要参考资料。计算方法见有效种群分析

单位捕捞努力量渔获量(CPUE)概算法

CPUE是一项重要的相对资源量指标。根据定义,t时的单位捕捞努力量渔获量等于可捕系数(q)乘以该时平均资源量(Ni),(C/f)t=qNt。其中Nt等于初始资源量(N0)减去t时的累积渔获量(∑Ct),故有:

(C/f)t=qN0-q∑Ct

根据相应的单位捕捞努力量和累积渔获量资料可测出上式的截距(qN0)和斜率(q),进而可估算出现存资源量(Nt=N0-∑Ct)。