登录| 注册    
收藏  点赞 

有效种群分析

一种估算渔业种群捕捞死亡和资源数量的方法。亦称世代分析。为了与波普(J.G.Pope)的世代分析区别,多数使用者延用VPA一词表示有效种群分析。此项分析工作的结果将给出一份历年各年龄组捕捞死亡和资源数量数据表,为渔业资源评估和管理提供基本资料和依据。在世界各国渔业资源评估研究中得到广泛的应用。一个世代在渔业中被渔获的总和称为有效种群(F.弗赖伊,1949)。古兰德(J.A.

一种估算渔业种群捕捞死亡和资源数量的方法。亦称世代分析。为了与波普(J.G.Pope)的世代分析区别,多数使用者延用VPA一词表示有效种群分析。此项分析工作的结果将给出一份历年各年龄组捕捞死亡和资源数量数据表,为渔业资源评估和管理提供基本资料和依据。在世界各国渔业资源评估研究中得到广泛的应用。

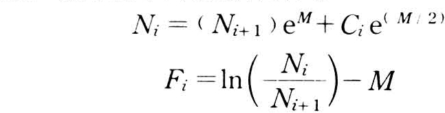
一个世代在渔业中被渔获的总和称为有效种群(F.弗赖伊,1949)。古兰德(J.A.Gulland,1965)根据这一概念和渔业种群变动的两个基本方程:

有效种群分析

提出了一个从高龄鱼开始,运用逐步逼近法估算捕捞死亡的汁算式,即:

有效种群分析

式中 Ni和Ni+1分别为一个世代在年龄i和i+1或时刻i和i+1开始时的资源数量;Fi和Ci为年龄i或时刻i的捕捞死亡和渔获尾数;M为自然死亡。Ni+1、Ci和M是三个事先需要确定的数值。一旦这三个数值确定,通过上式左项与右项的逐步逼近法估算出Fi。然后,逐次进行类似的计算,可算出一个世代在i-1,i-2,i-3,……,直到最初被渔获时的捕捞死亡和资源数量。这个计算过程称为有效种群分析。应用现代计算技术,将上述过程编成计算程序,可由计算机快速给出结果。该方法的主要特点是:①从一个世代的最高年龄组开始,逐年向前估算各年龄组的捕捞死亡和资料数量,不断减少了估算误差;②只要有多年的渔获物年龄组成资料即可基本满足;③计算要求不需要使用难以度量和收集的捕捞力量资料。

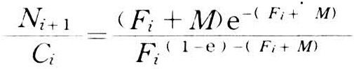
为了便于手工计算,波普(1972)简化了上述计算过程,推导出下列近似计算式:

有效种群分析

当Ni+1、Ci和M确定后,可由上列公式直接计算出Ni和Fi。波普称该方法为世代分析。但是这个方法相应地降低了估算精度,如当M>0.3和F>1.3时,计算误差将超出±5%。