登录| 注册    
收藏  点赞 

鱼类死亡概算

的几种主要估算方法为:①用渔获物年龄组成估算。若世代数量基本稳定,则可用某一年的渔获物年龄组成估算出该年的平均总死亡系数,计算公式为: 鱼类死亡概算 式中 ni为渔获物中i年龄组的尾数;ni+1为i+1年龄组的尾数,余依此类推;S为残存率。若世代数量波动较大,则应用同一世代连续两年的渔获量(尾数)资料,估算总死亡系数Z值。②用渔获物平均年龄估算。

通过对有关鱼类死亡参数的估算,掌握鱼类死亡的变化规律。是研究渔业资源数量变动的重要环节。鱼类死亡包括因渔业捕捞引起的捕捞死亡和因敌害、疾病、衰老等因素引起的自然死亡。从数量上描述鱼类死亡程度的有死亡系数和死亡率两种形式。死亡系数可分为总死亡系数(Z)、捕捞死亡系数(F)和自然死亡系数(M);死亡率可分为总死亡率(A)、捕捞死亡率(u)和自然死亡率(v)。相互关系为:Z=F+M和A=u+v。

总死亡系数一个世代的资源数量变化率,可用数学式表示,即:

dNt/dt=-ZNt

式中 Nt为t瞬间的资源数量:dNt/dt为由于捕捞和自然死亡在t瞬间的相对变化量;Z为减少率,即总死亡系数

总死亡系数Z的概念和估算由巴拉诺夫(Φ.И.Баранов)1918年提出,其后贝费顿(R.J.H.Be-verton)、霍尔特(S.J.Holt)和里克(W.E.Ricker)等相继提出了不少的估算方法。常用的几种主要估算方法为:①用渔获物年龄组成估算。若世代数量基本稳定,则可用某一年的渔获物年龄组成估算出该年的平均总死亡系数,计算公式为:

鱼类死亡概算

式中 ni为渔获物中i年龄组的尾数;ni+1为i+1年龄组的尾数,余依此类推;S为残存率。若世代数量波动较大,则应用同一世代连续两年的渔获量(尾数)资料,估算总死亡系数Z值。②用渔获物平均年龄估算。若已知捕捞群体的开捕年龄tc或最小渔获年龄t′,则可用其平均年龄估算出该年份的总死亡系数,计算公式为:

鱼类死亡概算

其前提为补充和残存率恒定,所以只适用于世代数量波动较小的群体,对世代波动较大的群体误差较大。③用渔获物平均体长估算。若已掌握某鱼种的生长参数K、最大体长l和最小渔获体长l′或开捕体长lc,可根据该鱼种渔获物平均体长估算出该年份的总死亡系数,计算公式为:

鱼类死亡概算

同样,该方法只适用于世代波动较小的种群。

自然死亡系数

鱼类从发生到老死,其自然死亡系数M值并非恒定,早期阶段的自然死亡率很高,寿命终结时,自然死亡率也较大。一般认为在捕捞利用的生命阶段内,其自然死亡率相对较为稳定。因此,在资源评估分析中,为简化计算,往往将自然死亡系数作常数处理。由于自然死亡规律的研究还很不充分,存在不少问题。

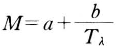
目前,自然死亡系数M值的估算方法有:①利用未开发种群的首次渔获量曲线估算M值。即根据首次捕捞的渔获物(用选择性较小的渔具,如拖网)年龄组成或体长组成,用上述估算总死亡系数Z的方法进行估算。因刚开发利用,捕捞死亡可视作零。估算的总死亡系数即为自然死亡系数。②从总死亡系数中分离出自然死亡系数。若有多年的或两个以上不同时期、不同水平的捕捞努力量统计资料和能估算总死亡系数的渔获物年龄组成资料,可利用Z=M+F=M+qf公式,通过线性回归法或解方程的方法估算M值和可捕系数q值。③根据自然死亡系数与该鱼种的最高年龄Tλ(寿命)之间的线性回归的函数关系估算M值。M值对最高年龄的倒数之间的回归方程为:

鱼类死亡概算

利用前人研究已知的鱼种寿命和自然死亡系数的资料可算出式中参数a和b。若已掌握新研究对象的最高年龄,即可估算出自然死亡系数M值。④用鱼类栖息环境的平均温度和生长参数估算其自然死亡系数M值。波利(D.Pauly,1980)利用175个群体数据计算出的相关公式为:

鱼类死亡概算

式中 l为最大鱼体长度;K为生长系数;为环境平均温度。

捕捞死亡系数

估算捕捞死亡系数的方法很多,一般有:①用世代分析法估算(见有效种群分析)。②从总死亡系数中分离出捕捞死亡系数。若已从总死亡系数中分离出自然死亡系数,可由F=Z-M估算捕捞死亡系数。若已知某年份的总标准捕捞努力量(厂),还可由自然死亡系数分离法所估算的可捕系数q估算出该年份的捕捞死亡系数(F=qf)。

总死亡率

可以用两种方式作数学表达式;①1尾鱼的个体年死亡期望值,以分数或百分率来表示,这是在每年之初所存在的鱼数在一年中实际死去多少的比例数;②如果在较小时间间距中死去的数目,在所有时间都与当时存在的鱼数成比例,则在t时间留存的数目与一年之初(t=0)种群鱼数的比例数为:

鱼类死亡概算

式中 参数Z为总死亡系数,如果时间的单位为一年,年末的残存率为S,则年总死亡率为:

A=1-S=1-e-z

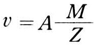
捕捞死亡率

相当于某时间单位内(如以年为单位)群体的总渔获尾数C和该时间单位初始时群体的总尾数N0之比例,即u=。因Z=F+M,捕捞死亡率还可用下式估算:

鱼类死亡概算

根据标志鱼重捕的数量和标志鱼总数量的比例,也可大致估算出捕捞死亡率。由于带标志后鱼的行动和自然死亡受到影响,加上标志容易脱落,渔获物中标志鱼可能漏检,因而使重捕回收率大大减少,致使所估算出的捕捞死亡率偏低。

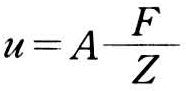
自然死亡率

相当于某时间单位内群体因自然原因死亡的尾数和该时间单位初始时群体的总尾数之比例。也可用下式估算:

鱼类死亡概算